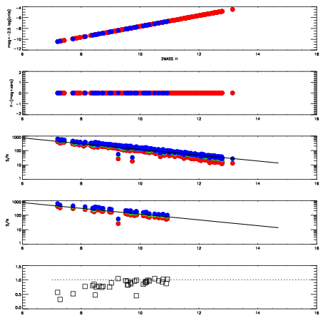
Left plots: red are targets, blue are telluric. Observed mags are calculated from median value of green chip. Zeropoint gives overall throughput: bigger number is more throughput.
First spatial plots: circles are objects, squares are tellurics, crosses are sky fibers. Colors give deviation of observed mag from expected 2MASS mag using the median zeropoint; red is brighter
Second spatial plots: circles are sky fibers. Colors give sky line brightness relative to plate median sky line brightness
FrameNreadsZeropointsMag plots Spatial mag deviation Spatial sky 16325A emission deviations (filled: sky, open: star) Spatial sky continuum emission Spatial sky telluric CO2 absorption deviations (filled: H < 10)
0 0
RedGreenBlue
z17.64
znorm Inf
sky -Inf -Inf -NaN
S/N 27.2 46.4 49.2
S/N(c) 0.0 0.0 0.0
SN(E/C) 0.87

IPAIRNAMESHIFTNEWSHIFTS/N NAMESHIFTNEWSHIFTS/N
0 14060051 0.496438 0.00000 19.1069 14060052 -0.000137108 0.496575 19.1837
1 14060050 0.495817 0.000620991 19.0900 14060053 -0.000158246 0.496596 19.0577
2 14060055 0.495756 0.000681996 19.0640 14060049 0.00000 0.496438 19.0096
3 14060054 0.495006 0.00143200 18.9419 14060056 0.000224260 0.496214 18.9150