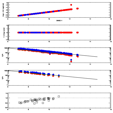
Left plots: red are targets, blue are telluric. Observed mags are calculated from median value of green chip. Zeropoint gives overall throughput: bigger number is more throughput.
First spatial plots: circles are objects, squares are tellurics, crosses are sky fibers. Colors give deviation of observed mag from expected 2MASS mag using the median zeropoint; red is brighter
Second spatial plots: circles are sky fibers. Colors give sky line brightness relative to plate median sky line brightness
FrameNreadsZeropointsMag plots Spatial mag deviation Spatial sky 16325A emission deviations (filled: sky, open: star) Spatial sky continuum emission Spatial sky telluric CO2 absorption deviations (filled: H < 10)
0 0
RedGreenBlue
z17.64
znorm Inf
sky -Inf -Inf -NaN
S/N 29.9 51.5 55.9
S/N(c) 0.0 0.0 0.0
SN(E/C) 0.80

IPAIRNAMESHIFTNEWSHIFTS/N NAMESHIFTNEWSHIFTS/N
0 13740072 0.498430 0.00000 19.0502 13740074 -0.00210746 0.500537 19.0464
1 13740076 0.495115 0.00331500 19.1597 13740077 -0.00210092 0.500531 19.1534
2 13740075 0.495857 0.00257301 19.1384 13740078 -0.00240578 0.500836 19.1002
3 13740079 0.493901 0.00452900 19.0479 13740073 -0.00165845 0.500088 19.0159
4 13740071 0.496404 0.00202602 18.9952 13740070 0.00000 0.498430 19.0145