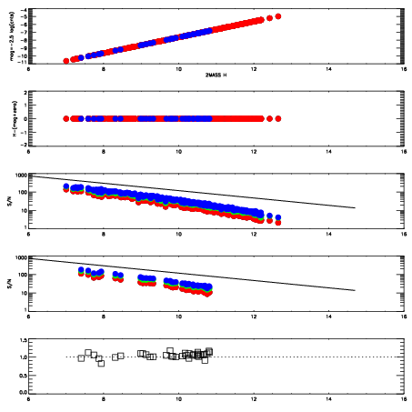
Left plots: red are targets, blue are telluric. Observed mags are calculated from median value of green chip. Zeropoint gives overall throughput: bigger number is more throughput.
First spatial plots: circles are objects, squares are tellurics, crosses are sky fibers. Colors give deviation of observed mag from expected 2MASS mag using the median zeropoint; red is brighter
Second spatial plots: circles are sky fibers. Colors give sky line brightness relative to plate median sky line brightness
FrameNreadsZeropointsMag plots Spatial mag deviation Spatial sky 16325A emission deviations (filled: sky, open: star) Spatial sky continuum emission Spatial sky telluric CO2 absorption deviations (filled: H < 10)
0 0
RedGreenBlue
z17.64
znorm Inf
sky -NaN -Inf -Inf
S/N 3.5 6.0 6.8
S/N(c) 0.0 0.0 0.0
SN(E/C) 1.05

IPAIRNAMESHIFTNEWSHIFTS/N NAMESHIFTNEWSHIFTS/N
0 14350035 0.501301 0.00000 16.4811 14350036 0.00280551 0.498495 16.1225
1 14350030 0.500007 0.00129402 17.0124 14350029 0.00000 0.501301 17.7050
2 14350034 0.500805 0.000495970 16.3494 14350032 0.00224267 0.499058 16.0268
3 14350031 0.501094 0.000207007 16.3114 14350033 0.00204896 0.499252 15.9071