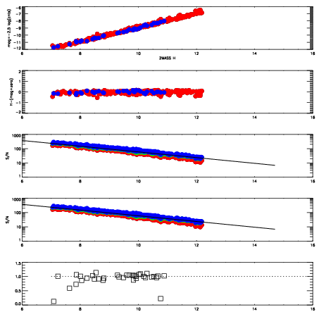
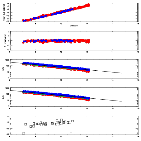
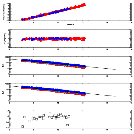
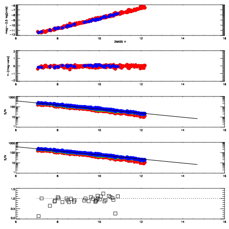
Frame | Nreads | Zeropoints | Mag plots
| Spatial mag deviation
| Spatial sky 16325A emission deviations (filled: sky, open: star)
| Spatial sky continuum emission
| Spatial sky telluric CO2 absorption deviations (filled: H < 10)
|
14310059
| 47
| | Red | Green | Blue
| z | | 18.89
| znorm | | 14.71
| sky | 14.6 | 14.3 | 14.4
| S/N | 14.3 | 22.9 | 23.7
| S/N(c) | 33.6 | 36.4 | 23.1
| SN(E/C) | 0.95
|
|
|
|
|
|
|
14310060
| 47
| | Red | Green | Blue
| z | | 18.95
| znorm | | 14.77
| sky | 14.7 | 14.3 | 14.5
| S/N | 14.6 | 23.6 | 24.6
| S/N(c) | 34.7 | 37.2 | 23.8
| SN(E/C) | 1.00
|
|
|
|
|
|
|
14310061
| 47
| | Red | Green | Blue
| z | | 19.04
| znorm | | 14.86
| sky | 14.5 | 14.3 | 14.5
| S/N | 15.5 | 24.9 | 26.0
| S/N(c) | 36.0 | 38.7 | 24.5
| SN(E/C) | 0.93
|
|
|
|
|
|
|
14310062
| 47
| | Red | Green | Blue
| z | | 18.69
| znorm | | 14.51
| sky | 14.6 | 14.5 | 14.7
| S/N | 12.0 | 20.4 | 20.9
| S/N(c) | 29.9 | 32.7 | 20.6
| SN(E/C) | 0.93
|
|
|
|
|
|
|
14310063
| 47
| | Red | Green | Blue
| z | | 18.96
| znorm | | 14.78
| sky | 14.5 | 14.4 | 14.5
| S/N | 14.7 | 24.5 | 24.5
| S/N(c) | 34.3 | 37.2 | 23.6
| SN(E/C) | 0.93
|
|
|
|
|
|
|
14310064
| 47
| | Red | Green | Blue
| z | | 18.92
| znorm | | 14.74
| sky | 14.6 | 14.4 | 14.5
| S/N | 14.4 | 23.8 | 23.9
| S/N(c) | 33.5 | 36.5 | 23.1
| SN(E/C) | 0.91
|
|
|
|
|
|
|
14310065
| 47
| | Red | Green | Blue
| z | | 18.86
| znorm | | 14.68
| sky | 14.5 | 14.5 | 14.5
| S/N | 14.0 | 23.1 | 22.8
| S/N(c) | 32.5 | 35.4 | 22.1
| SN(E/C) | 0.98
|
|
|
|
|
|
|
14310066
| 47
| | Red | Green | Blue
| z | | 18.92
| znorm | | 14.74
| sky | 14.5 | 14.3 | 14.4
| S/N | 14.4 | 23.9 | 23.5
| S/N(c) | 33.4 | 36.3 | 22.7
| SN(E/C) | 0.93
|
|
|
|
|
|
|