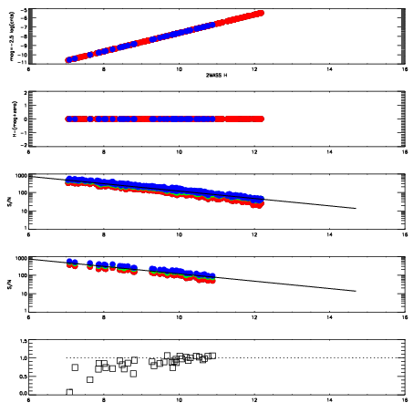
Left plots: red are targets, blue are telluric. Observed mags are calculated from median value of green chip. Zeropoint gives overall throughput: bigger number is more throughput.
First spatial plots: circles are objects, squares are tellurics, crosses are sky fibers. Colors give deviation of observed mag from expected 2MASS mag using the median zeropoint; red is brighter
Second spatial plots: circles are sky fibers. Colors give sky line brightness relative to plate median sky line brightness
FrameNreadsZeropointsMag plots Spatial mag deviation Spatial sky 16325A emission deviations (filled: sky, open: star) Spatial sky continuum emission Spatial sky telluric CO2 absorption deviations (filled: H < 10)
0 0
RedGreenBlue
z17.64
znorm Inf
sky -Inf -Inf -Inf
S/N 26.0 44.4 43.9
S/N(c) 0.0 0.0 0.0
SN(E/C) 0.89

IPAIRNAMESHIFTNEWSHIFTS/N NAMESHIFTNEWSHIFTS/N
0 14310065 0.497194 0.00000 18.8509 14310062 0.000237255 0.496957 18.6748
1 14310061 0.492377 0.00481698 19.0266 14310063 -0.000132428 0.497326 18.9489
2 14310060 0.491454 0.00573999 18.9484 14310066 0.00170483 0.495489 18.9063
3 14310064 0.495296 0.00189799 18.9209 14310059 0.00000 0.497194 18.8857