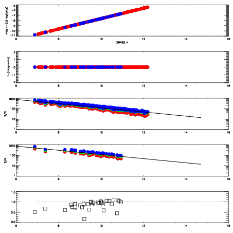
Left plots: red are targets, blue are telluric. Observed mags are calculated from median value of green chip. Zeropoint gives overall throughput: bigger number is more throughput.
First spatial plots: circles are objects, squares are tellurics, crosses are sky fibers. Colors give deviation of observed mag from expected 2MASS mag using the median zeropoint; red is brighter
Second spatial plots: circles are sky fibers. Colors give sky line brightness relative to plate median sky line brightness
FrameNreadsZeropointsMag plots Spatial mag deviation Spatial sky 16325A emission deviations (filled: sky, open: star) Spatial sky continuum emission Spatial sky telluric CO2 absorption deviations (filled: H < 10)
0 0
RedGreenBlue
z17.64
znorm Inf
sky -Inf -Inf -NaN
S/N 24.5 44.5 45.5
S/N(c) 0.0 0.0 0.0
SN(E/C) 0.89

IPAIRNAMESHIFTNEWSHIFTS/N NAMESHIFTNEWSHIFTS/N
0 14100054 0.498605 0.00000 19.0260 14100051 -0.000900926 0.499506 19.0817
1 14100050 0.497491 0.00111401 19.0262 14100052 -0.00102934 0.499634 19.0878
2 14100053 0.498257 0.000348002 18.9671 14100055 -0.00115532 0.499760 19.0434
3 14100049 0.497049 0.00155601 18.8854 14100048 0.00000 0.498605 18.9128