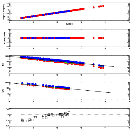
Left plots: red are targets, blue are telluric. Observed mags are calculated from median value of green chip. Zeropoint gives overall throughput: bigger number is more throughput.
First spatial plots: circles are objects, squares are tellurics, crosses are sky fibers. Colors give deviation of observed mag from expected 2MASS mag using the median zeropoint; red is brighter
Second spatial plots: circles are sky fibers. Colors give sky line brightness relative to plate median sky line brightness
FrameNreadsZeropointsMag plots Spatial mag deviation Spatial sky 16325A emission deviations (filled: sky, open: star) Spatial sky continuum emission Spatial sky telluric CO2 absorption deviations (filled: H < 10)
0 0
RedGreenBlue
z17.64
znorm Inf
sky -NaN -NaN -NaN
S/N 29.8 51.7 57.2
S/N(c) 0.0 0.0 0.0
SN(E/C) 0.94

IPAIRNAMESHIFTNEWSHIFTS/N NAMESHIFTNEWSHIFTS/N
0 13820039 0.496360 0.00000 19.1215 13820037 0.00000 0.496360 19.1099
1 13820042 0.492721 0.00363901 19.1687 13820044 -0.00282647 0.499186 19.1902
2 13820043 0.493172 0.00318801 19.1660 13820041 -0.00160198 0.497962 19.1711
3 13820038 0.494416 0.00194401 19.1224 13820040 -0.00102512 0.497385 19.1396