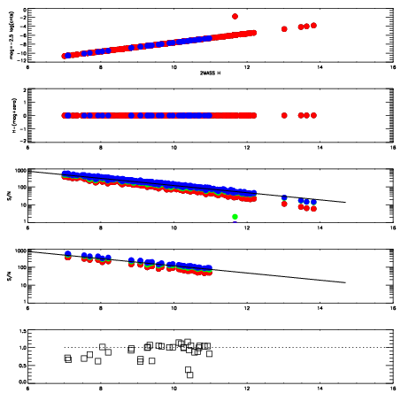
Left plots: red are targets, blue are telluric. Observed mags are calculated from median value of green chip. Zeropoint gives overall throughput: bigger number is more throughput.
First spatial plots: circles are objects, squares are tellurics, crosses are sky fibers. Colors give deviation of observed mag from expected 2MASS mag using the median zeropoint; red is brighter
Second spatial plots: circles are sky fibers. Colors give sky line brightness relative to plate median sky line brightness
FrameNreadsZeropointsMag plots Spatial mag deviation Spatial sky 16325A emission deviations (filled: sky, open: star) Spatial sky continuum emission Spatial sky telluric CO2 absorption deviations (filled: H < 10)
0 0
RedGreenBlue
z17.64
znorm Inf
sky -Inf -Inf -NaN
S/N 22.2 41.4 43.5
S/N(c) 0.0 0.0 0.0
SN(E/C) 0.99

IPAIRNAMESHIFTNEWSHIFTS/N NAMESHIFTNEWSHIFTS/N
0 14100042 0.493913 0.00000 18.7072 14100041 -0.000900552 0.494814 18.3406
1 14100043 0.492382 0.00153100 18.8949 14100044 -0.00255722 0.496470 18.9047
2 14100038 0.493128 0.000784993 18.7775 14100037 0.00000 0.493913 18.8672
3 14100039 0.493214 0.000698984 18.7438 14100040 -0.00134799 0.495261 18.5047