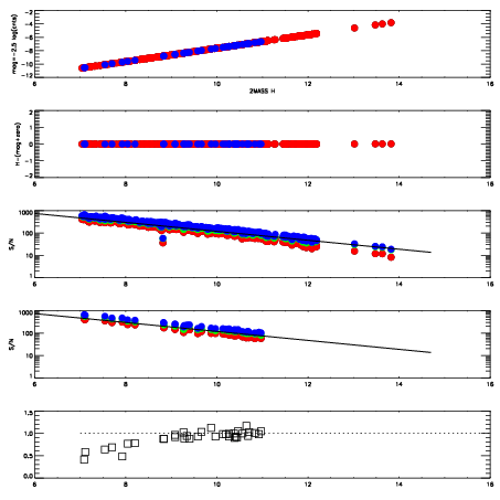
Left plots: red are targets, blue are telluric. Observed mags are calculated from median value of green chip. Zeropoint gives overall throughput: bigger number is more throughput.
First spatial plots: circles are objects, squares are tellurics, crosses are sky fibers. Colors give deviation of observed mag from expected 2MASS mag using the median zeropoint; red is brighter
Second spatial plots: circles are sky fibers. Colors give sky line brightness relative to plate median sky line brightness
FrameNreadsZeropointsMag plots Spatial mag deviation Spatial sky 16325A emission deviations (filled: sky, open: star) Spatial sky continuum emission Spatial sky telluric CO2 absorption deviations (filled: H < 10)
0 0
RedGreenBlue
z17.64
znorm Inf
sky -NaN -NaN -NaN
S/N 27.4 47.0 49.7
S/N(c) 0.0 0.0 0.0
SN(E/C) 0.93

IPAIRNAMESHIFTNEWSHIFTS/N NAMESHIFTNEWSHIFTS/N
0 14300045 0.497017 0.00000 19.0957 14300048 -0.00203158 0.499049 19.0805
1 14300049 0.495926 0.00109100 19.1016 14300051 -0.00224375 0.499261 19.0815
2 14300050 0.496633 0.000384003 19.0883 14300047 -0.00142885 0.498446 19.0762
3 14300046 0.496711 0.000306010 19.0438 14300044 0.00000 0.497017 19.0163