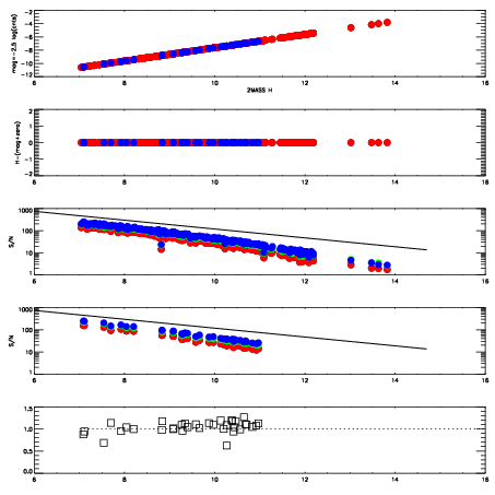
Left plots: red are targets, blue are telluric. Observed mags are calculated from median value of green chip. Zeropoint gives overall throughput: bigger number is more throughput.
First spatial plots: circles are objects, squares are tellurics, crosses are sky fibers. Colors give deviation of observed mag from expected 2MASS mag using the median zeropoint; red is brighter
Second spatial plots: circles are sky fibers. Colors give sky line brightness relative to plate median sky line brightness
FrameNreadsZeropointsMag plots Spatial mag deviation Spatial sky 16325A emission deviations (filled: sky, open: star) Spatial sky continuum emission Spatial sky telluric CO2 absorption deviations (filled: H < 10)
0 0
RedGreenBlue
z17.64
znorm Inf
sky -NaN -NaN -Inf
S/N 5.5 8.8 9.7
S/N(c) 0.0 0.0 0.0
SN(E/C) 1.05

IPAIRNAMESHIFTNEWSHIFTS/N NAMESHIFTNEWSHIFTS/N
0 14350042 0.499300 0.00000 16.4014 14350044 -0.000124361 0.499424 17.4059
1 14350046 0.499036 0.000263989 17.4320 14350047 -2.74495e-05 0.499327 17.6149
2 14350045 0.497987 0.00131300 17.2555 14350043 -0.000712533 0.500013 17.5937
3 14350041 0.498981 0.000319004 15.8135 14350040 0.00000 0.499300 15.6457