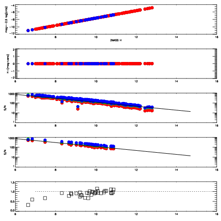
Left plots: red are targets, blue are telluric. Observed mags are calculated from median value of green chip. Zeropoint gives overall throughput: bigger number is more throughput.
First spatial plots: circles are objects, squares are tellurics, crosses are sky fibers. Colors give deviation of observed mag from expected 2MASS mag using the median zeropoint; red is brighter
Second spatial plots: circles are sky fibers. Colors give sky line brightness relative to plate median sky line brightness
FrameNreadsZeropointsMag plots Spatial mag deviation Spatial sky 16325A emission deviations (filled: sky, open: star) Spatial sky continuum emission Spatial sky telluric CO2 absorption deviations (filled: H < 10)
0 0
RedGreenBlue
z17.64
znorm Inf
sky -Inf -Inf -Inf
S/N 30.9 50.4 55.7
S/N(c) 0.0 0.0 0.0
SN(E/C) 0.92

IPAIRNAMESHIFTNEWSHIFTS/N NAMESHIFTNEWSHIFTS/N
0 14410032 0.489877 0.00000 19.2102 14410033 -0.000910800 0.490788 19.1674
1 14410027 0.486100 0.00377700 19.2226 14410026 0.00000 0.489877 19.2178
2 14410028 0.488578 0.00129899 19.2112 14410029 -0.00138677 0.491264 19.1803
3 14410031 0.488751 0.00112599 19.2089 14410030 -0.00153559 0.491413 19.1551