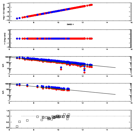
Left plots: red are targets, blue are telluric. Observed mags are calculated from median value of green chip. Zeropoint gives overall throughput: bigger number is more throughput.
First spatial plots: circles are objects, squares are tellurics, crosses are sky fibers. Colors give deviation of observed mag from expected 2MASS mag using the median zeropoint; red is brighter
Second spatial plots: circles are sky fibers. Colors give sky line brightness relative to plate median sky line brightness
FrameNreadsZeropointsMag plots Spatial mag deviation Spatial sky 16325A emission deviations (filled: sky, open: star) Spatial sky continuum emission Spatial sky telluric CO2 absorption deviations (filled: H < 10)
0 0
RedGreenBlue
z17.64
znorm Inf
sky -Inf -NaN -NaN
S/N 32.7 53.6 59.3
S/N(c) 0.0 0.0 0.0
SN(E/C) 0.92

IPAIRNAMESHIFTNEWSHIFTS/N NAMESHIFTNEWSHIFTS/N
0 14400039 0.496090 0.00000 19.2215 14400044 0.000240080 0.495850 19.2251
1 14400042 0.495584 0.000505984 19.2534 14400041 -0.00188919 0.497979 19.2470
2 14400043 0.495955 0.000135005 19.2287 14400040 -0.00125195 0.497342 19.2415
3 14400038 0.495529 0.000560999 19.1899 14400037 0.00000 0.496090 19.1855