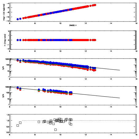
Left plots: red are targets, blue are telluric. Observed mags are calculated from median value of green chip. Zeropoint gives overall throughput: bigger number is more throughput.
First spatial plots: circles are objects, squares are tellurics, crosses are sky fibers. Colors give deviation of observed mag from expected 2MASS mag using the median zeropoint; red is brighter
Second spatial plots: circles are sky fibers. Colors give sky line brightness relative to plate median sky line brightness
FrameNreadsZeropointsMag plots Spatial mag deviation Spatial sky 16325A emission deviations (filled: sky, open: star) Spatial sky continuum emission Spatial sky telluric CO2 absorption deviations (filled: H < 10)
0 0
RedGreenBlue
z17.64
znorm Inf
sky -Inf -Inf -NaN
S/N 26.8 45.9 48.0
S/N(c) 0.0 0.0 0.0
SN(E/C) 0.95

IPAIRNAMESHIFTNEWSHIFTS/N NAMESHIFTNEWSHIFTS/N
0 14590043 0.499465 0.00000 18.9633 14590044 0.00155329 0.497912 19.0048
1 14590042 0.498994 0.000470996 18.9502 14590041 0.00171225 0.497753 18.9513
2 14590038 0.497541 0.00192398 18.9449 14590040 0.00167407 0.497791 18.9315
3 14590039 0.499278 0.000186980 18.8941 14590037 0.00000 0.499465 18.9193