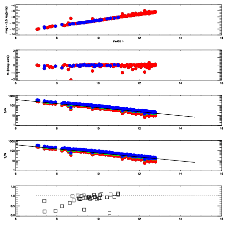
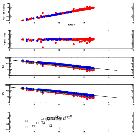
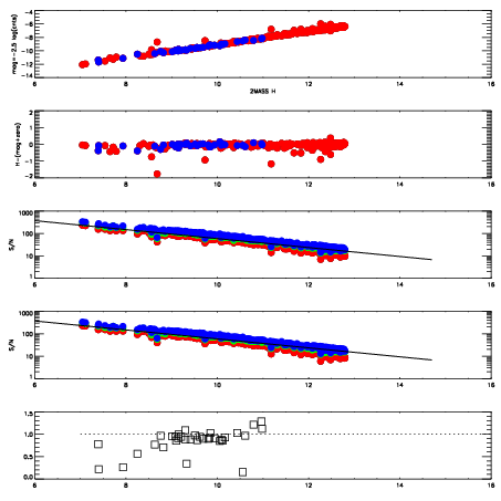
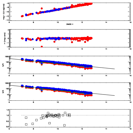
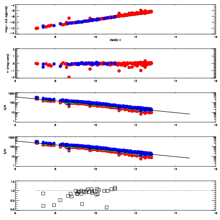
Frame | Nreads | Zeropoints | Mag plots
| Spatial mag deviation
| Spatial sky 16325A emission deviations (filled: sky, open: star)
| Spatial sky continuum emission
| Spatial sky telluric CO2 absorption deviations (filled: H < 10)
|
16110022
| 47
| | Red | Green | Blue
| z | | 19.15
| znorm | | 14.97
| sky | 14.4 | 14.4 | 14.5
| S/N | 15.6 | 25.0 | 28.1
| S/N(c) | 42.8 | 43.2 | 17.3
| SN(E/C) | 0.91
|
|
|
|
|
|
|
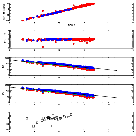
16110023
| 47
| | Red | Green | Blue
| z | | 19.15
| znorm | | 14.97
| sky | 14.5 | 14.4 | 14.5
| S/N | 15.7 | 25.0 | 28.3
| S/N(c) | 42.9 | 43.1 | 17.3
| SN(E/C) | 0.94
|
|
|
|
|
|
|
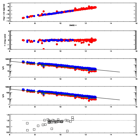
16110024
| 47
| | Red | Green | Blue
| z | | 18.92
| znorm | | 14.74
| sky | 14.4 | 14.2 | 14.3
| S/N | 13.3 | 21.9 | 24.6
| S/N(c) | 37.5 | 38.4 | 15.2
| SN(E/C) | 0.92
|
|
|
|
|
|
|
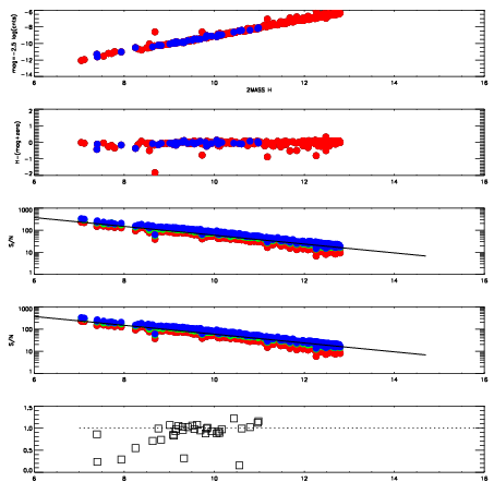
16110025
| 47
| | Red | Green | Blue
| z | | 19.17
| znorm | | 14.99
| sky | 14.4 | 14.6 | 14.6
| S/N | 15.7 | 25.2 | 28.7
| S/N(c) | 43.2 | 43.6 | 17.3
| SN(E/C) | 0.90
|
|
|
|
|
|
|
16110026
| 47
| | Red | Green | Blue
| z | | 19.16
| znorm | | 14.98
| sky | 14.6 | 14.6 | 14.6
| S/N | 15.6 | 25.5 | 28.7
| S/N(c) | 43.3 | 43.6 | 17.3
| SN(E/C) | 0.91
|
|
|
|
|
|
|
16110027
| 47
| | Red | Green | Blue
| z | | 19.12
| znorm | | 14.94
| sky | 14.6 | 14.5 | 14.6
| S/N | 15.5 | 24.4 | 27.8
| S/N(c) | 41.9 | 42.6 | 17.0
| SN(E/C) | 0.96
|
|
|
|
|
|
|
16110028
| 47
| | Red | Green | Blue
| z | | 19.01
| znorm | | 14.83
| sky | 14.7 | 14.6 | 14.6
| S/N | 14.1 | 22.9 | 26.1
| S/N(c) | 39.2 | 40.1 | 15.8
| SN(E/C) | 0.95
|
|
|
|
|
|
|
16110029
| 47
| | Red | Green | Blue
| z | | 19.11
| znorm | | 14.93
| sky | 14.6 | 14.6 | 14.6
| S/N | 15.5 | 24.8 | 27.7
| S/N(c) | 41.2 | 42.1 | 16.9
| SN(E/C) | 0.97
|
|
|
|
|
|
|