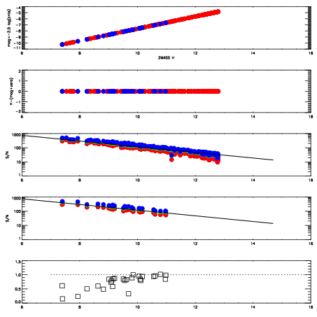
Left plots: red are targets, blue are telluric. Observed mags are calculated from median value of green chip. Zeropoint gives overall throughput: bigger number is more throughput.
First spatial plots: circles are objects, squares are tellurics, crosses are sky fibers. Colors give deviation of observed mag from expected 2MASS mag using the median zeropoint; red is brighter
Second spatial plots: circles are sky fibers. Colors give sky line brightness relative to plate median sky line brightness
FrameNreadsZeropointsMag plots Spatial mag deviation Spatial sky 16325A emission deviations (filled: sky, open: star) Spatial sky continuum emission Spatial sky telluric CO2 absorption deviations (filled: H < 10)
0 0
RedGreenBlue
z17.64
znorm Inf
sky -Inf -NaN -Inf
S/N 28.5 46.7 51.2
S/N(c) 0.0 0.0 0.0
SN(E/C) 0.84

IPAIRNAMESHIFTNEWSHIFTS/N NAMESHIFTNEWSHIFTS/N
0 16430024 0.488746 0.00000 19.1064 16430018 0.00000 0.488746 19.0789
1 16430023 0.487802 0.000943989 19.1184 16430025 0.00223586 0.486510 19.1286
2 16430019 0.487154 0.00159198 19.1108 16430022 0.00193723 0.486809 19.1096
3 16430020 0.487137 0.00160900 19.0662 16430021 0.00155316 0.487193 19.0499