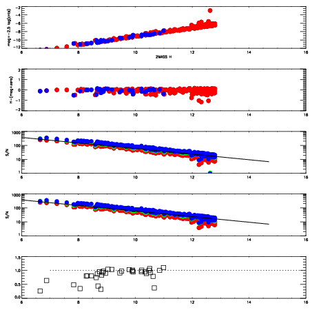
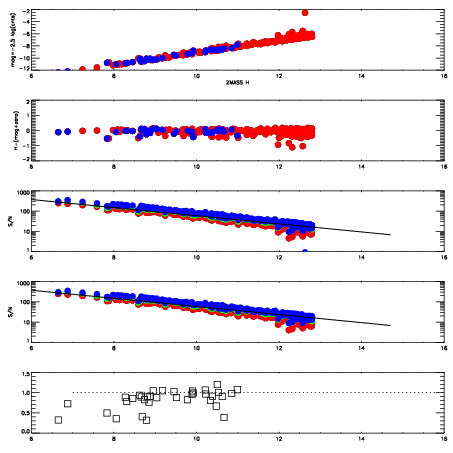
Frame | Nreads | Zeropoints | Mag plots
| Spatial mag deviation
| Spatial sky 16325A emission deviations (filled: sky, open: star)
| Spatial sky continuum emission
| Spatial sky telluric CO2 absorption deviations (filled: H < 10)
|
14290011
| 47
| | Red | Green | Blue
| z | | 19.17
| znorm | | 14.99
| sky | 14.4 | 14.1 | 13.9
| S/N | 16.6 | 26.2 | 27.6
| S/N(c) | 8.4 | 35.2 | 30.0
| SN(E/C) | 0.90
|
|
|
|
|
|
|
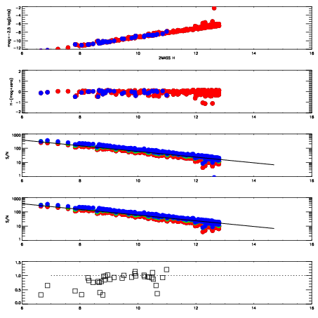
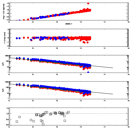
14290012
| 47
| | Red | Green | Blue
| z | | 19.14
| znorm | | 14.96
| sky | 14.5 | 14.2 | 14.0
| S/N | 16.4 | 25.6 | 27.1
| S/N(c) | 8.2 | 34.2 | 29.4
| SN(E/C) | 0.90
|
|
|
|
|
|
|
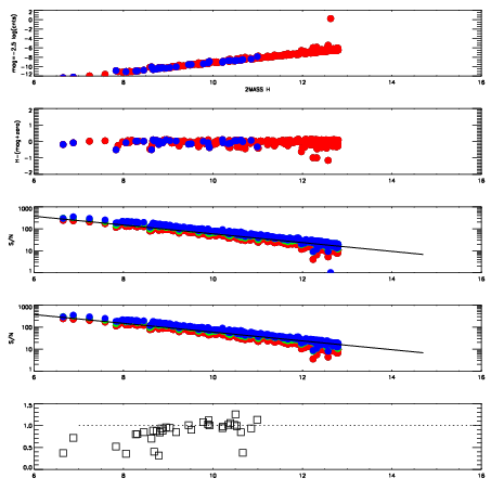
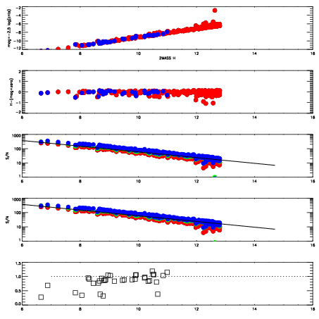
14290013
| 47
| | Red | Green | Blue
| z | | 19.16
| znorm | | 14.98
| sky | 14.6 | 14.3 | 14.1
| S/N | 16.5 | 25.9 | 27.8
| S/N(c) | 8.2 | 34.9 | 29.6
| SN(E/C) | 0.92
|
|
|
|
|
|
|
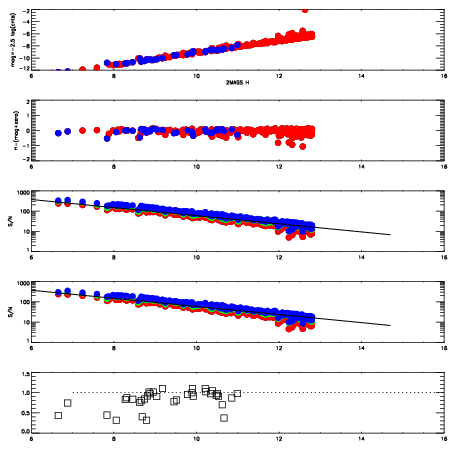
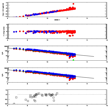
14290014
| 47
| | Red | Green | Blue
| z | | 19.17
| znorm | | 14.99
| sky | 14.6 | 14.3 | 14.1
| S/N | 16.6 | 26.0 | 27.7
| S/N(c) | 8.2 | 34.7 | 29.5
| SN(E/C) | 0.88
|
|
|
|
|
|
|
14290015
| 47
| | Red | Green | Blue
| z | | 19.19
| znorm | | 15.01
| sky | 14.6 | 14.3 | 14.4
| S/N | 16.4 | 26.6 | 28.2
| S/N(c) | 8.2 | 35.3 | 30.0
| SN(E/C) | 0.92
|
|
|
|
|
|
|
14290016
| 47
| | Red | Green | Blue
| z | | 19.17
| znorm | | 14.99
| sky | 14.8 | 14.5 | 14.3
| S/N | 16.5 | 26.3 | 28.1
| S/N(c) | 8.1 | 34.9 | 29.8
| SN(E/C) | 0.92
|
|
|
|
|
|
|
14290017
| 47
| | Red | Green | Blue
| z | | 19.14
| znorm | | 14.96
| sky | 14.6 | 14.5 | 14.5
| S/N | 15.7 | 25.9 | 27.6
| S/N(c) | 8.0 | 34.5 | 29.6
| SN(E/C) | 0.94
|
|
|
|
|
|
|
14290018
| 47
| | Red | Green | Blue
| z | | 19.14
| znorm | | 14.96
| sky | 14.7 | 14.4 | 14.4
| S/N | 16.1 | 26.1 | 27.2
| S/N(c) | 8.0 | 34.1 | 29.0
| SN(E/C) | 0.89
|
|
|
|
|
|
|