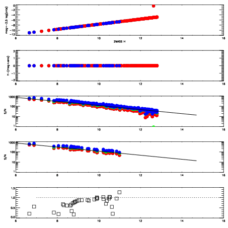
Left plots: red are targets, blue are telluric. Observed mags are calculated from median value of green chip. Zeropoint gives overall throughput: bigger number is more throughput.
First spatial plots: circles are objects, squares are tellurics, crosses are sky fibers. Colors give deviation of observed mag from expected 2MASS mag using the median zeropoint; red is brighter
Second spatial plots: circles are sky fibers. Colors give sky line brightness relative to plate median sky line brightness
FrameNreadsZeropointsMag plots Spatial mag deviation Spatial sky 16325A emission deviations (filled: sky, open: star) Spatial sky continuum emission Spatial sky telluric CO2 absorption deviations (filled: H < 10)
0 0
RedGreenBlue
z17.64
znorm Inf
sky -Inf -Inf -NaN
S/N 28.7 48.2 51.1
S/N(c) 0.0 0.0 0.0
SN(E/C) 0.80

IPAIRNAMESHIFTNEWSHIFTS/N NAMESHIFTNEWSHIFTS/N
0 14290017 0.503904 0.00000 19.1130 14290018 0.00110604 0.502798 19.1214
1 14290016 0.502715 0.00118899 19.1515 14290015 -0.000716329 0.504620 19.1638
2 14290013 0.502415 0.00148898 19.1446 14290011 0.00000 0.503904 19.1569
3 14290012 0.502295 0.00160897 19.1275 14290014 -0.000405410 0.504309 19.1517