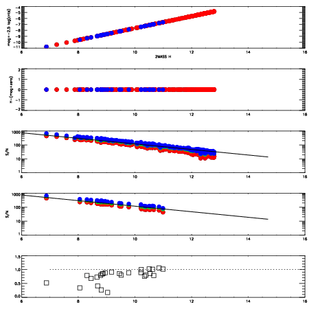
Left plots: red are targets, blue are telluric. Observed mags are calculated from median value of green chip. Zeropoint gives overall throughput: bigger number is more throughput.
First spatial plots: circles are objects, squares are tellurics, crosses are sky fibers. Colors give deviation of observed mag from expected 2MASS mag using the median zeropoint; red is brighter
Second spatial plots: circles are sky fibers. Colors give sky line brightness relative to plate median sky line brightness
FrameNreadsZeropointsMag plots Spatial mag deviation Spatial sky 16325A emission deviations (filled: sky, open: star) Spatial sky continuum emission Spatial sky telluric CO2 absorption deviations (filled: H < 10)
0 0
RedGreenBlue
z17.64
znorm Inf
sky -Inf -Inf -Inf
S/N 25.1 44.2 46.3
S/N(c) 0.0 0.0 0.0
SN(E/C) 0.84

IPAIRNAMESHIFTNEWSHIFTS/N NAMESHIFTNEWSHIFTS/N
0 16430072 0.487981 0.00000 18.9939 16430066 0.00000 0.487981 18.9374
1 16430068 0.487697 0.000283986 19.0153 16430070 0.000297438 0.487684 18.9806
2 16430071 0.487430 0.000550985 18.9841 16430069 0.000380931 0.487600 18.9085
3 16430067 0.487373 0.000607997 18.9200 16430073 0.00173896 0.486242 18.8667