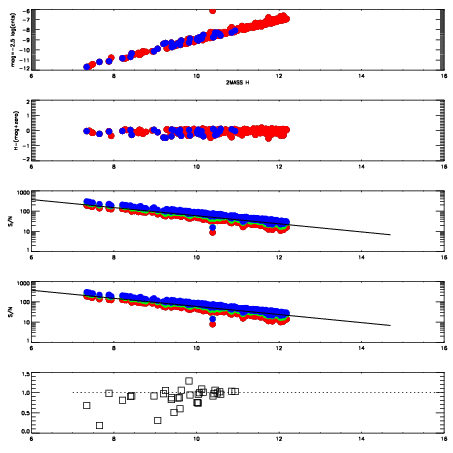
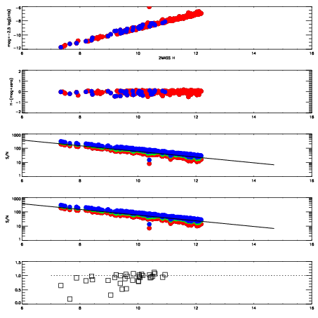
Left plots: red are targets, blue are telluric. Observed mags are calculated from median value of green chip. Zeropoint gives overall throughput: bigger number is more throughput.
First spatial plots: circles are objects, squares are tellurics, crosses are sky fibers. Colors give deviation of observed mag from expected 2MASS mag using the median zeropoint; red is brighter
Second spatial plots: circles are sky fibers. Colors give sky line brightness relative to plate median sky line brightness
FrameNreadsZeropointsMag plots Spatial mag deviation Spatial sky 16325A emission deviations (filled: sky, open: star) Spatial sky continuum emission Spatial sky telluric CO2 absorption deviations (filled: H < 10)
17170041 47
RedGreenBlue
z19.05
znorm14.87
sky 14.4 14.6 14.8
S/N 15.2 25.3 28.6
S/N(c) 23.3 19.4 9.8
SN(E/C) 0.94
17170042 47
RedGreenBlue
z19.08
znorm14.90
sky 14.5 14.6 14.4
S/N 15.2 25.1 28.9
S/N(c) 23.3 19.9 9.9
SN(E/C) 0.94