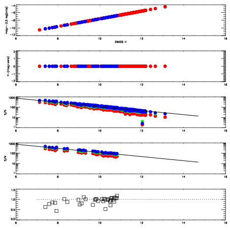
Left plots: red are targets, blue are telluric. Observed mags are calculated from median value of green chip. Zeropoint gives overall throughput: bigger number is more throughput.
First spatial plots: circles are objects, squares are tellurics, crosses are sky fibers. Colors give deviation of observed mag from expected 2MASS mag using the median zeropoint; red is brighter
Second spatial plots: circles are sky fibers. Colors give sky line brightness relative to plate median sky line brightness
FrameNreadsZeropointsMag plots Spatial mag deviation Spatial sky 16325A emission deviations (filled: sky, open: star) Spatial sky continuum emission Spatial sky telluric CO2 absorption deviations (filled: H < 10)
0 0
RedGreenBlue
z17.64
znorm Inf
sky -Inf -Inf -NaN
S/N 20.0 35.8 38.9
S/N(c) 0.0 0.0 0.0
SN(E/C) 0.98

IPAIRNAMESHIFTNEWSHIFTS/N NAMESHIFTNEWSHIFTS/N
0 14600031 0.497877 0.00000 18.5137 14600032 -0.000804977 0.498682 18.6514
1 14600030 0.497080 0.000797004 18.8013 14600025 0.00000 0.497877 18.7170
2 14600027 0.496218 0.00165901 18.5123 14600029 -0.000739266 0.498616 18.6189
3 14600026 0.495921 0.00195602 18.4870 14600028 -0.000688624 0.498566 18.3147