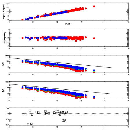
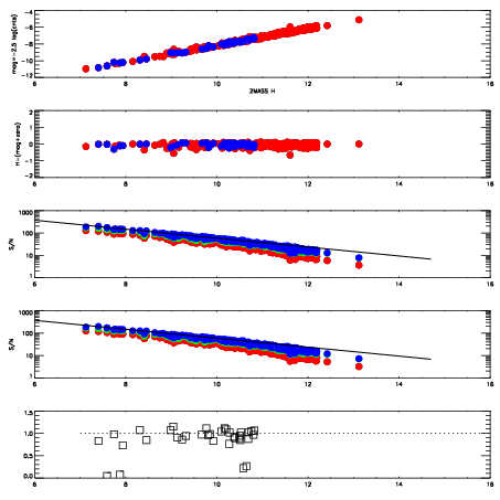
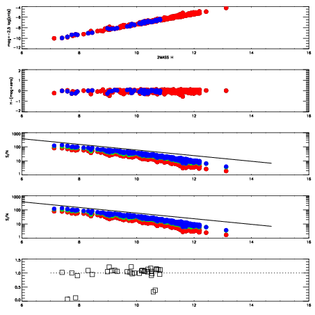
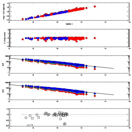
Frame | Nreads | Zeropoints | Mag plots
| Spatial mag deviation
| Spatial sky 16325A emission deviations (filled: sky, open: star)
| Spatial sky continuum emission
| Spatial sky telluric CO2 absorption deviations (filled: H < 10)
|
14870011
| 47
| | Red | Green | Blue
| z | | 17.21
| znorm | | 13.03
| sky | 13.8 | 13.8 | 13.7
| S/N | 3.9 | 7.5 | 7.9
| S/N(c) | 5.9 | 7.5 | 5.6
| SN(E/C) | 1.00
|
|
|
|
|
|
|
14870012
| 47
| | Red | Green | Blue
| z | | 18.23
| znorm | | 14.05
| sky | 14.0 | 14.0 | 13.9
| S/N | 8.7 | 15.6 | 16.7
| S/N(c) | 12.1 | 14.2 | 10.5
| SN(E/C) | 0.95
|
|
|
|
|
|
|
14870013
| 47
| | Red | Green | Blue
| z | | 17.66
| znorm | | 13.48
| sky | 14.0 | 13.9 | 13.9
| S/N | 5.6 | 10.3 | 11.2
| S/N(c) | 8.1 | 10.1 | 7.5
| SN(E/C) | 1.00
|
|
|
|
|
|
|
14870014
| 47
| | Red | Green | Blue
| z | | 17.36
| znorm | | 13.18
| sky | 14.0 | 13.9 | 13.9
| S/N | 4.3 | 8.3 | 9.1
| S/N(c) | 6.4 | 8.3 | 6.1
| SN(E/C) | 1.05
|
|
|
|
|
|
|
14870015
| 47
| | Red | Green | Blue
| z | | 16.92
| znorm | | 12.74
| sky | 13.8 | 13.8 | 13.8
| S/N | 2.8 | 5.8 | 6.0
| S/N(c) | 4.5 | 6.1 | 4.5
| SN(E/C) | 1.05
|
|
|
|
|
|
|
14870016
| 47
| | Red | Green | Blue
| z | | 17.59
| znorm | | 13.41
| sky | 13.9 | 14.0 | 14.0
| S/N | 5.0 | 9.8 | 10.7
| S/N(c) | 7.9 | 9.8 | 7.2
| SN(E/C) | 0.98
|
|
|
|
|
|
|
14870017
| 47
| | Red | Green | Blue
| z | | 18.43
| znorm | | 14.25
| sky | 14.5 | 14.3 | 14.2
| S/N | 10.0 | 17.5 | 19.2
| S/N(c) | 13.9 | 15.9 | 11.7
| SN(E/C) | 0.94
|
|
|
|
|
|
|
14870018
| 47
| | Red | Green | Blue
| z | | 18.80
| znorm | | 14.62
| sky | 14.6 | 14.5 | 14.4
| S/N | 13.0 | 22.1 | 24.2
| S/N(c) | 17.8 | 19.5 | 14.5
| SN(E/C) | 0.96
|
|
|
|
|
|
|