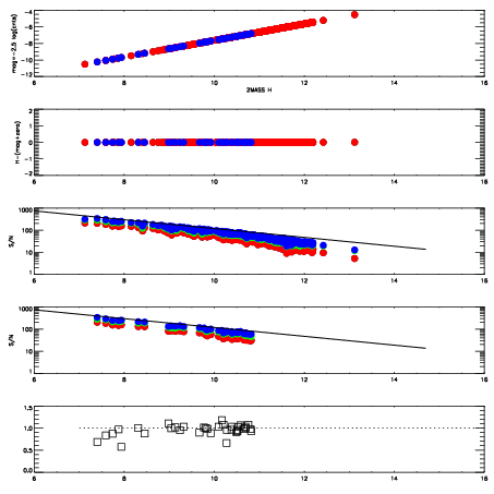
Left plots: red are targets, blue are telluric. Observed mags are calculated from median value of green chip. Zeropoint gives overall throughput: bigger number is more throughput.
First spatial plots: circles are objects, squares are tellurics, crosses are sky fibers. Colors give deviation of observed mag from expected 2MASS mag using the median zeropoint; red is brighter
Second spatial plots: circles are sky fibers. Colors give sky line brightness relative to plate median sky line brightness
FrameNreadsZeropointsMag plots Spatial mag deviation Spatial sky 16325A emission deviations (filled: sky, open: star) Spatial sky continuum emission Spatial sky telluric CO2 absorption deviations (filled: H < 10)
0 0
RedGreenBlue
z17.64
znorm Inf
sky -Inf -Inf -Inf
S/N 13.2 24.4 26.7
S/N(c) 0.0 0.0 0.0
SN(E/C) 0.98

IPAIRNAMESHIFTNEWSHIFTS/N NAMESHIFTNEWSHIFTS/N
0 14870013 0.499377 0.00000 17.6414 14870011 0.00000 0.499377 17.1893
1 14870017 0.498242 0.00113502 18.4088 14870018 -0.00203448 0.501411 18.7878
2 14870012 0.498703 0.000674009 18.2242 14870014 -0.00118578 0.500563 17.3506
3 14870016 0.498492 0.000885010 17.5675 14870015 -0.00142532 0.500802 16.8998