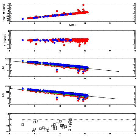
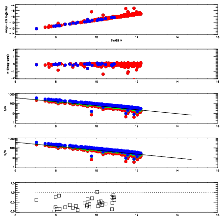
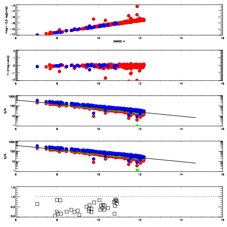
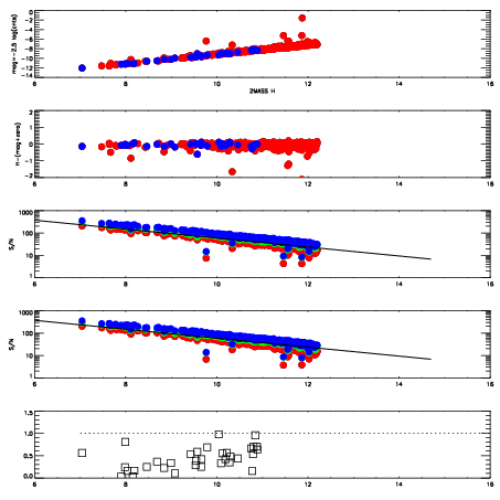
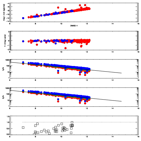
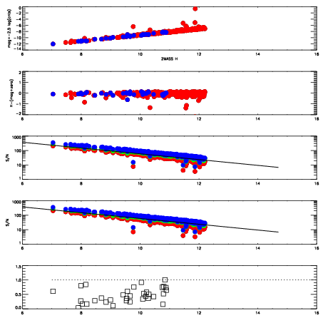
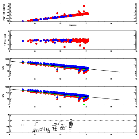
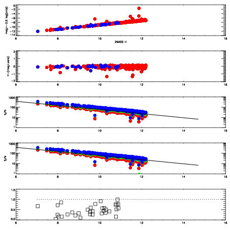
Frame | Nreads | Zeropoints | Mag plots
| Spatial mag deviation
| Spatial sky 16325A emission deviations (filled: sky, open: star)
| Spatial sky continuum emission
| Spatial sky telluric CO2 absorption deviations (filled: H < 10)
|
17350063
| 47
| | Red | Green | Blue
| z | | 19.11
| znorm | | 14.93
| sky | 14.7 | 14.4 | 14.7
| S/N | 15.3 | 25.6 | 29.1
| S/N(c) | 13.2 | 3.7 | 18.6
| SN(E/C) | 0.47
|
|
|
|
|
|
|
17350064
| 47
| | Red | Green | Blue
| z | | 19.14
| znorm | | 14.96
| sky | 14.8 | 14.6 | 14.8
| S/N | 15.2 | 25.6 | 29.7
| S/N(c) | 13.5 | 3.8 | 18.9
| SN(E/C) | 0.45
|
|
|
|
|
|
|
17350065
| 47
| | Red | Green | Blue
| z | | 19.21
| znorm | | 15.03
| sky | 14.9 | 14.6 | 14.7
| S/N | 16.2 | 26.8 | 30.7
| S/N(c) | 13.9 | 3.9 | 19.5
| SN(E/C) | 0.42
|
|
|
|
|
|
|
17350066
| 47
| | Red | Green | Blue
| z | | 19.21
| znorm | | 15.03
| sky | 14.8 | 14.5 | 14.8
| S/N | 16.3 | 26.7 | 30.5
| S/N(c) | 14.0 | 3.9 | 19.5
| SN(E/C) | 0.43
|
|
|
|
|
|
|
17350067
| 47
| | Red | Green | Blue
| z | | 19.21
| znorm | | 15.03
| sky | 14.7 | 14.7 | 14.7
| S/N | 15.7 | 26.8 | 30.3
| S/N(c) | 13.9 | 3.9 | 19.4
| SN(E/C) | 0.43
|
|
|
|
|
|
|
17350068
| 47
| | Red | Green | Blue
| z | | 19.19
| znorm | | 15.01
| sky | 14.8 | 14.8 | 14.9
| S/N | 15.6 | 26.5 | 30.0
| S/N(c) | 13.8 | 3.9 | 19.2
| SN(E/C) | 0.44
|
|
|
|
|
|
|
17350069
| 47
| | Red | Green | Blue
| z | | 19.17
| znorm | | 14.99
| sky | 14.8 | 14.7 | 14.8
| S/N | 15.2 | 25.9 | 29.3
| S/N(c) | 13.4 | 3.8 | 19.0
| SN(E/C) | 0.45
|
|
|
|
|
|
|
17350070
| 47
| | Red | Green | Blue
| z | | 19.24
| znorm | | 15.06
| sky | 14.5 | 14.7 | 14.8
| S/N | 16.2 | 27.3 | 30.8
| S/N(c) | 14.2 | 3.9 | 19.7
| SN(E/C) | 0.43
|
|
|
|
|
|
|