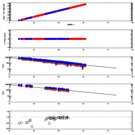
Left plots: red are targets, blue are telluric. Observed mags are calculated from median value of green chip. Zeropoint gives overall throughput: bigger number is more throughput.
First spatial plots: circles are objects, squares are tellurics, crosses are sky fibers. Colors give deviation of observed mag from expected 2MASS mag using the median zeropoint; red is brighter
Second spatial plots: circles are sky fibers. Colors give sky line brightness relative to plate median sky line brightness
FrameNreadsZeropointsMag plots Spatial mag deviation Spatial sky 16325A emission deviations (filled: sky, open: star) Spatial sky continuum emission Spatial sky telluric CO2 absorption deviations (filled: H < 10)
0 0
RedGreenBlue
z17.64
znorm Inf
sky -Inf -Inf -NaN
S/N 29.1 49.8 52.7
S/N(c) 0.0 0.0 0.0
SN(E/C) 0.89

IPAIRNAMESHIFTNEWSHIFTS/N NAMESHIFTNEWSHIFTS/N
0 14880012 0.490695 0.00000 18.9660 14880011 0.00000 0.490695 18.8599
1 14880017 0.486238 0.00445700 19.1718 14880018 -0.00395411 0.494649 19.1908
2 14880016 0.487539 0.00315601 19.1491 14880015 -0.00349263 0.494188 19.1402
3 14880013 0.489824 0.000871003 19.0516 14880014 -0.00331769 0.494013 19.1340