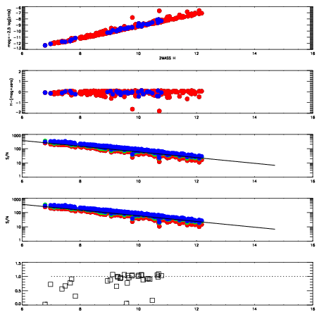
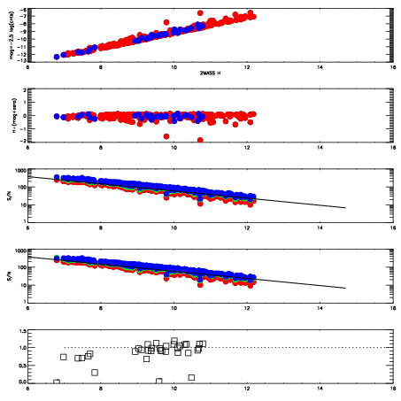
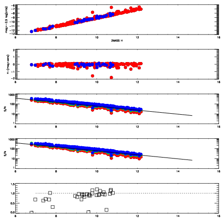
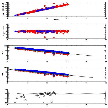
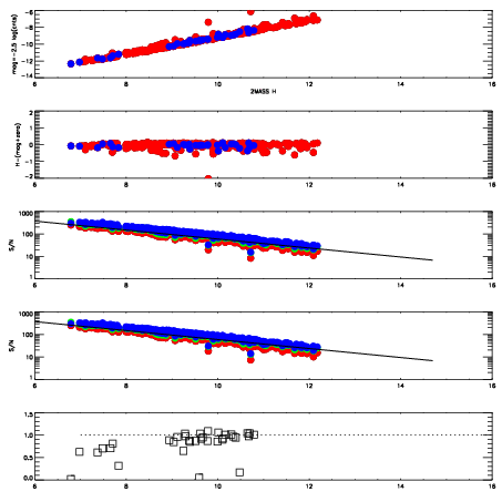
Frame | Nreads | Zeropoints | Mag plots
| Spatial mag deviation
| Spatial sky 16325A emission deviations (filled: sky, open: star)
| Spatial sky continuum emission
| Spatial sky telluric CO2 absorption deviations (filled: H < 10)
|
14980011
| 47
| | Red | Green | Blue
| z | | 19.06
| znorm | | 14.88
| sky | 14.1 | 13.8 | 13.8
| S/N | 17.4 | 26.7 | 29.8
| S/N(c) | 28.6 | 31.7 | 27.7
| SN(E/C) | 0.93
|
|
|
|
|
|
|
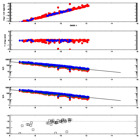
14980012
| 47
| | Red | Green | Blue
| z | | 19.23
| znorm | | 15.05
| sky | 14.1 | 13.8 | 13.8
| S/N | 18.9 | 28.8 | 32.3
| S/N(c) | 31.3 | 34.1 | 30.0
| SN(E/C) | 0.88
|
|
|
|
|
|
|
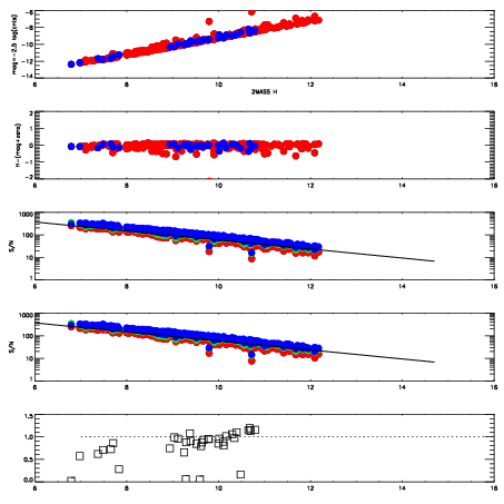
14980013
| 47
| | Red | Green | Blue
| z | | 19.21
| znorm | | 15.03
| sky | 14.2 | 14.0 | 13.9
| S/N | 18.7 | 28.6 | 31.6
| S/N(c) | 31.0 | 33.8 | 29.6
| SN(E/C) | 0.90
|
|
|
|
|
|
|
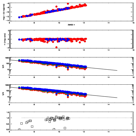
14980014
| 47
| | Red | Green | Blue
| z | | 19.24
| znorm | | 15.06
| sky | 14.1 | 14.0 | 13.9
| S/N | 18.9 | 28.8 | 32.2
| S/N(c) | 30.9 | 34.2 | 29.6
| SN(E/C) | 0.92
|
|
|
|
|
|
|
14980015
| 47
| | Red | Green | Blue
| z | | 19.22
| znorm | | 15.04
| sky | 14.1 | 14.0 | 14.0
| S/N | 18.5 | 28.8 | 32.0
| S/N(c) | 30.9 | 33.5 | 29.4
| SN(E/C) | 0.89
|
|
|
|
|
|
|
14980016
| 47
| | Red | Green | Blue
| z | | 19.14
| znorm | | 14.96
| sky | 14.1 | 14.1 | 14.1
| S/N | 17.5 | 27.8 | 30.9
| S/N(c) | 29.8 | 32.5 | 28.2
| SN(E/C) | 0.93
|
|
|
|
|
|
|
14980017
| 47
| | Red | Green | Blue
| z | | 19.19
| znorm | | 15.01
| sky | 14.3 | 14.1 | 14.1
| S/N | 18.2 | 28.6 | 31.7
| S/N(c) | 30.2 | 33.0 | 29.0
| SN(E/C) | 0.93
|
|
|
|
|
|
|
14980018
| 47
| | Red | Green | Blue
| z | | 19.16
| znorm | | 14.98
| sky | 14.1 | 14.1 | 14.1
| S/N | 18.0 | 28.4 | 31.2
| S/N(c) | 30.2 | 33.1 | 28.5
| SN(E/C) | 0.92
|
|
|
|
|
|
|