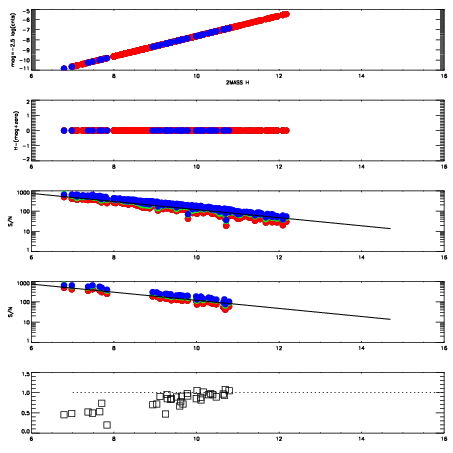
Left plots: red are targets, blue are telluric. Observed mags are calculated from median value of green chip. Zeropoint gives overall throughput: bigger number is more throughput.
First spatial plots: circles are objects, squares are tellurics, crosses are sky fibers. Colors give deviation of observed mag from expected 2MASS mag using the median zeropoint; red is brighter
Second spatial plots: circles are sky fibers. Colors give sky line brightness relative to plate median sky line brightness
FrameNreadsZeropointsMag plots Spatial mag deviation Spatial sky 16325A emission deviations (filled: sky, open: star) Spatial sky continuum emission Spatial sky telluric CO2 absorption deviations (filled: H < 10)
0 0
RedGreenBlue
z17.64
znorm Inf
sky -Inf -NaN -Inf
S/N 32.3 53.4 58.9
S/N(c) 0.0 0.0 0.0
SN(E/C) 0.85

IPAIRNAMESHIFTNEWSHIFTS/N NAMESHIFTNEWSHIFTS/N
0 14980013 0.490710 0.00000 19.2095 14980015 -0.00210243 0.492812 19.2195
1 14980012 0.490643 6.69956e-05 19.2356 14980014 -0.00193441 0.492644 19.2346
2 14980017 0.487147 0.00356299 19.1890 14980018 -0.00372822 0.494438 19.1607
3 14980016 0.488908 0.00180200 19.1359 14980011 0.00000 0.490710 19.0577