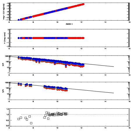
Left plots: red are targets, blue are telluric. Observed mags are calculated from median value of green chip. Zeropoint gives overall throughput: bigger number is more throughput.
First spatial plots: circles are objects, squares are tellurics, crosses are sky fibers. Colors give deviation of observed mag from expected 2MASS mag using the median zeropoint; red is brighter
Second spatial plots: circles are sky fibers. Colors give sky line brightness relative to plate median sky line brightness
FrameNreadsZeropointsMag plots Spatial mag deviation Spatial sky 16325A emission deviations (filled: sky, open: star) Spatial sky continuum emission Spatial sky telluric CO2 absorption deviations (filled: H < 10)
0 0
RedGreenBlue
z17.64
znorm Inf
sky -Inf -Inf -Inf
S/N 16.9 29.1 33.0
S/N(c) 0.0 0.0 0.0
SN(E/C) 0.98

IPAIRNAMESHIFTNEWSHIFTS/N NAMESHIFTNEWSHIFTS/N
0 15210017 0.507471 0.00000 18.3575 15210018 0.00112295 0.506348 18.2027
1 15210013 0.506105 0.00136602 18.8093 15210011 0.00000 0.507471 18.4772
2 15210012 0.505406 0.00206500 18.7912 15210014 -0.000882942 0.508354 18.2810
3 15210016 0.506863 0.000608027 18.3294 15210015 -0.000394298 0.507865 18.0953