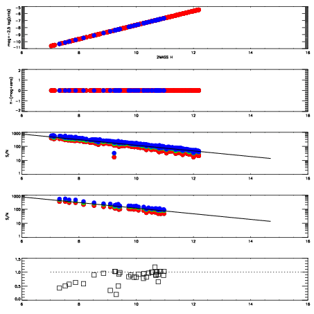
Left plots: red are targets, blue are telluric. Observed mags are calculated from median value of green chip. Zeropoint gives overall throughput: bigger number is more throughput.
First spatial plots: circles are objects, squares are tellurics, crosses are sky fibers. Colors give deviation of observed mag from expected 2MASS mag using the median zeropoint; red is brighter
Second spatial plots: circles are sky fibers. Colors give sky line brightness relative to plate median sky line brightness
FrameNreadsZeropointsMag plots Spatial mag deviation Spatial sky 16325A emission deviations (filled: sky, open: star) Spatial sky continuum emission Spatial sky telluric CO2 absorption deviations (filled: H < 10)
0 0
RedGreenBlue
z17.64
znorm Inf
sky -Inf -Inf -Inf
S/N 24.1 42.1 46.0
S/N(c) 0.0 0.0 0.0
SN(E/C) 0.89

IPAIRNAMESHIFTNEWSHIFTS/N NAMESHIFTNEWSHIFTS/N
0 14090087 0.500019 0.00000 18.7917 14090088 0.00131500 0.498704 18.7865
1 14090083 0.497935 0.00208402 19.0486 14090084 -0.00107775 0.501097 19.1373
2 14090082 0.496897 0.00312200 19.0299 14090085 -0.000403689 0.500423 19.0655
3 14090086 0.498578 0.00144100 18.9628 14090081 0.00000 0.500019 18.8522