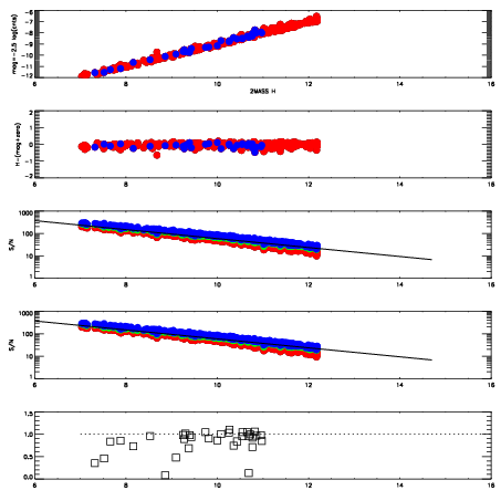
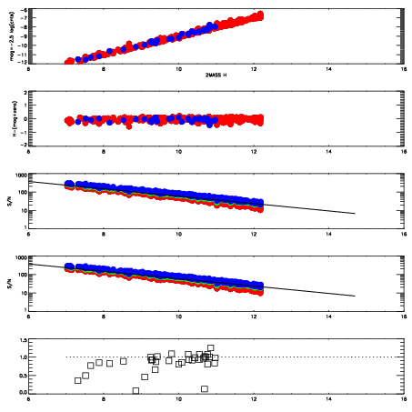
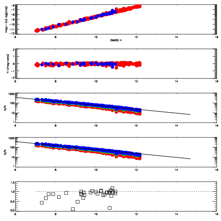
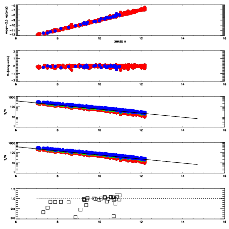
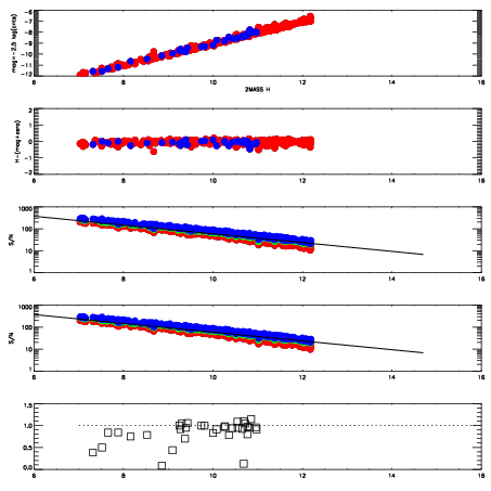
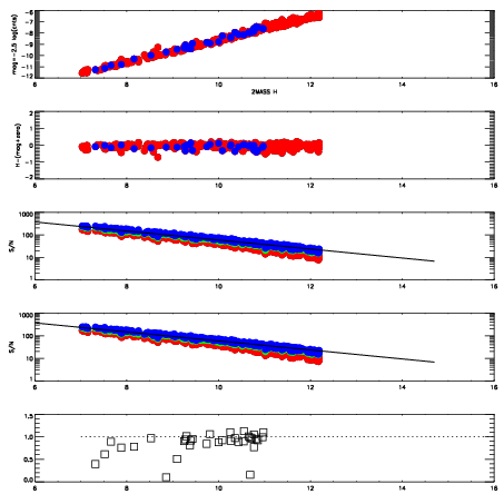
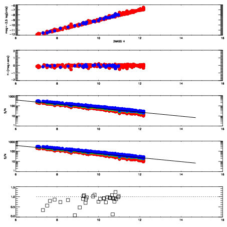
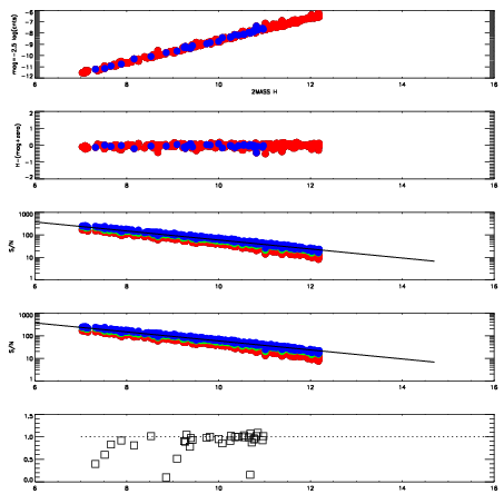
Frame | Nreads | Zeropoints | Mag plots
| Spatial mag deviation
| Spatial sky 16325A emission deviations (filled: sky, open: star)
| Spatial sky continuum emission
| Spatial sky telluric CO2 absorption deviations (filled: H < 10)
|
14870035
| 47
| | Red | Green | Blue
| z | | 18.46
| znorm | | 14.28
| sky | 14.7 | 14.6 | 14.6
| S/N | 9.8 | 17.8 | 19.1
| S/N(c) | 11.9 | 13.0 | 4.7
| SN(E/C) | 0.93
|
|
|
|
|
|
|
14870036
| 47
| | Red | Green | Blue
| z | | 18.66
| znorm | | 14.48
| sky | 14.7 | 14.7 | 14.7
| S/N | 10.8 | 19.6 | 20.6
| S/N(c) | 12.8 | 14.2 | 5.1
| SN(E/C) | 0.92
|
|
|
|
|
|
|
14870037
| 47
| | Red | Green | Blue
| z | | 18.65
| znorm | | 14.47
| sky | 14.7 | 14.7 | 14.7
| S/N | 11.1 | 19.8 | 20.9
| S/N(c) | 13.2 | 14.2 | 5.2
| SN(E/C) | 0.95
|
|
|
|
|
|
|
14870038
| 47
| | Red | Green | Blue
| z | | 19.02
| znorm | | 14.84
| sky | 14.8 | 14.7 | 14.8
| S/N | 13.6 | 23.3 | 25.9
| S/N(c) | 16.0 | 17.1 | 6.2
| SN(E/C) | 0.95
|
|
|
|
|
|
|
14870039
| 47
| | Red | Green | Blue
| z | | 19.04
| znorm | | 14.86
| sky | 15.0 | 14.8 | 14.9
| S/N | 13.8 | 23.6 | 26.2
| S/N(c) | 16.0 | 17.3 | 6.2
| SN(E/C) | 0.91
|
|
|
|
|
|
|
14870040
| 47
| | Red | Green | Blue
| z | | 19.07
| znorm | | 14.89
| sky | 14.9 | 14.8 | 14.8
| S/N | 13.7 | 23.5 | 26.1
| S/N(c) | 16.4 | 17.5 | 6.4
| SN(E/C) | 0.94
|
|
|
|
|
|
|
14870041
| 47
| | Red | Green | Blue
| z | | 19.04
| znorm | | 14.86
| sky | 15.0 | 14.8 | 15.0
| S/N | 13.6 | 23.1 | 25.5
| S/N(c) | 16.1 | 17.3 | 6.3
| SN(E/C) | 0.93
|
|
|
|
|
|
|
14870042
| 47
| | Red | Green | Blue
| z | | 19.05
| znorm | | 14.87
| sky | 15.0 | 14.8 | 14.8
| S/N | 13.8 | 23.5 | 26.0
| S/N(c) | 16.2 | 17.4 | 6.3
| SN(E/C) | 0.91
|
|
|
|
|
|
|