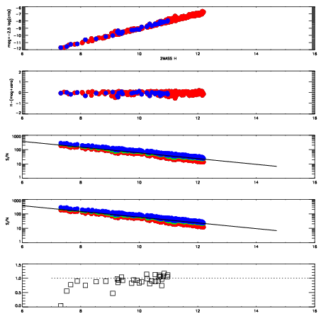
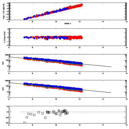
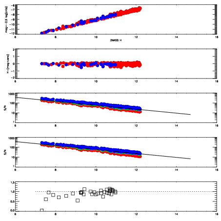
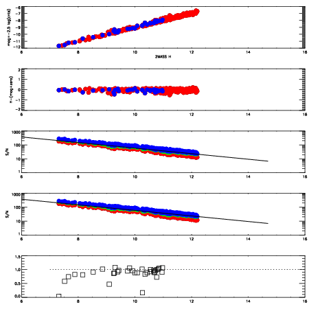
Frame | Nreads | Zeropoints | Mag plots
| Spatial mag deviation
| Spatial sky 16325A emission deviations (filled: sky, open: star)
| Spatial sky continuum emission
| Spatial sky telluric CO2 absorption deviations (filled: H < 10)
|
14950024
| 47
| | Red | Green | Blue
| z | | 19.07
| znorm | | 14.89
| sky | 14.8 | 14.4 | 14.6
| S/N | 15.5 | 25.2 | 27.7
| S/N(c) | 21.3 | 14.8 | 20.5
| SN(E/C) | 0.92
|
|
|
|
|
|
|
14950025
| 47
| | Red | Green | Blue
| z | | 19.04
| znorm | | 14.86
| sky | 15.1 | 14.6 | 14.6
| S/N | 14.9 | 24.7 | 27.0
| S/N(c) | 20.8 | 14.5 | 20.3
| SN(E/C) | 0.91
|
|
|
|
|
|
|
14950026
| 47
| | Red | Green | Blue
| z | | 19.10
| znorm | | 14.92
| sky | 14.9 | 14.6 | 14.6
| S/N | 15.7 | 25.4 | 28.0
| S/N(c) | 21.4 | 14.8 | 20.7
| SN(E/C) | 0.95
|
|
|
|
|
|
|
14950027
| 47
| | Red | Green | Blue
| z | | 19.05
| znorm | | 14.87
| sky | 14.9 | 14.7 | 14.8
| S/N | 14.9 | 24.7 | 27.1
| S/N(c) | 20.7 | 14.6 | 20.4
| SN(E/C) | 0.94
|
|
|
|
|
|
|
14950028
| 47
| | Red | Green | Blue
| z | | 19.03
| znorm | | 14.85
| sky | 14.9 | 14.8 | 14.7
| S/N | 14.8 | 24.9 | 27.1
| S/N(c) | 20.5 | 14.4 | 20.1
| SN(E/C) | 0.96
|
|
|
|
|
|
|
14950029
| 47
| | Red | Green | Blue
| z | | 19.09
| znorm | | 14.91
| sky | 14.8 | 14.8 | 14.7
| S/N | 15.6 | 25.8 | 28.2
| S/N(c) | 21.1 | 14.8 | 20.6
| SN(E/C) | 0.95
|
|
|
|
|
|
|
14950030
| 47
| | Red | Green | Blue
| z | | 19.11
| znorm | | 14.93
| sky | 14.7 | 14.7 | 14.8
| S/N | 15.7 | 25.9 | 28.4
| S/N(c) | 21.3 | 14.9 | 20.7
| SN(E/C) | 0.91
|
|
|
|
|
|
|
14950031
| 47
| | Red | Green | Blue
| z | | 19.10
| znorm | | 14.92
| sky | 14.9 | 14.7 | 14.7
| S/N | 15.4 | 26.1 | 28.5
| S/N(c) | 21.1 | 14.8 | 20.6
| SN(E/C) | 0.97
|
|
|
|
|
|
|