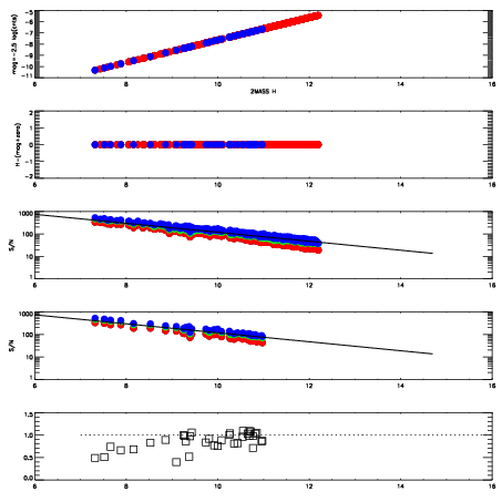
Left plots: red are targets, blue are telluric. Observed mags are calculated from median value of green chip. Zeropoint gives overall throughput: bigger number is more throughput.
First spatial plots: circles are objects, squares are tellurics, crosses are sky fibers. Colors give deviation of observed mag from expected 2MASS mag using the median zeropoint; red is brighter
Second spatial plots: circles are sky fibers. Colors give sky line brightness relative to plate median sky line brightness
FrameNreadsZeropointsMag plots Spatial mag deviation Spatial sky 16325A emission deviations (filled: sky, open: star) Spatial sky continuum emission Spatial sky telluric CO2 absorption deviations (filled: H < 10)
0 0
RedGreenBlue
z17.64
znorm Inf
sky -Inf -NaN -Inf
S/N 24.4 41.8 46.3
S/N(c) 0.0 0.0 0.0
SN(E/C) 0.88

IPAIRNAMESHIFTNEWSHIFTS/N NAMESHIFTNEWSHIFTS/N
0 15260017 0.509930 0.00000 18.8017 15260014 9.95665e-05 0.509830 18.9095
1 15260016 0.508852 0.00107801 18.9004 15260015 0.000561041 0.509369 18.9718
2 15260012 0.507754 0.00217599 18.7943 15260018 0.00270398 0.507226 18.8831
3 15260013 0.509045 0.000885010 18.7405 15260011 0.00000 0.509930 18.7030