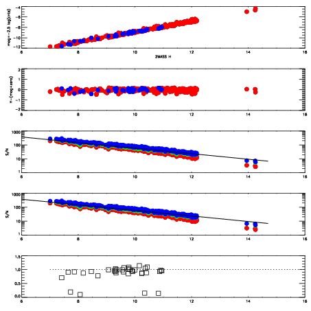
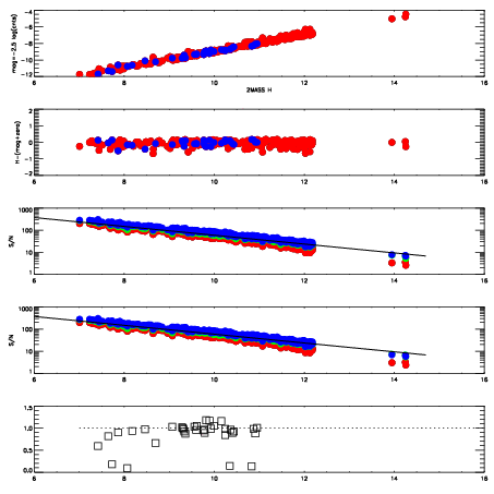
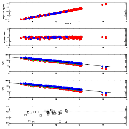
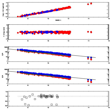
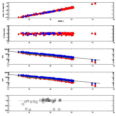
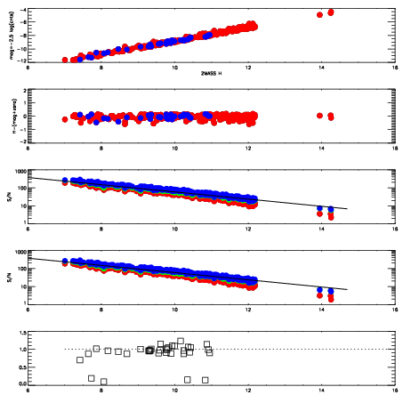
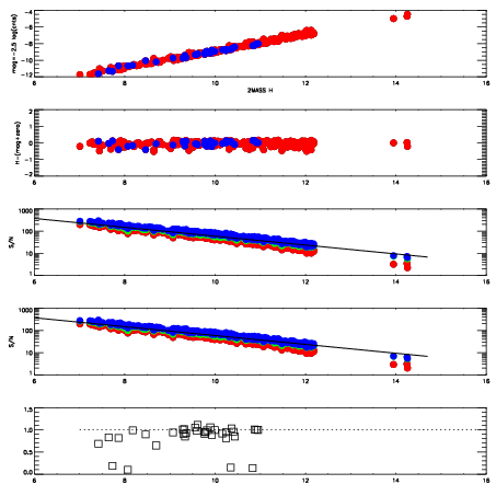
Frame | Nreads | Zeropoints | Mag plots
| Spatial mag deviation
| Spatial sky 16325A emission deviations (filled: sky, open: star)
| Spatial sky continuum emission
| Spatial sky telluric CO2 absorption deviations (filled: H < 10)
|
14310048
| 47
| | Red | Green | Blue
| z | | 18.98
| znorm | | 14.80
| sky | 14.6 | 14.4 | 14.6
| S/N | 14.3 | 23.8 | 26.1
| S/N(c) | 33.7 | 10.7 | 30.9
| SN(E/C) | 0.96
|
|
|
|
|
|
|
14310049
| 47
| | Red | Green | Blue
| z | | 18.87
| znorm | | 14.69
| sky | 14.7 | 14.4 | 14.8
| S/N | 13.4 | 22.2 | 24.6
| S/N(c) | 32.0 | 10.2 | 29.0
| SN(E/C) | 0.98
|
|
|
|
|
|
|
14310050
| 47
| | Red | Green | Blue
| z | | 18.95
| znorm | | 14.77
| sky | 14.8 | 14.4 | 14.7
| S/N | 14.2 | 23.6 | 25.8
| S/N(c) | 32.8 | 10.6 | 30.2
| SN(E/C) | 0.95
|
|
|
|
|
|
|
14310051
| 47
| | Red | Green | Blue
| z | | 18.88
| znorm | | 14.70
| sky | 14.6 | 14.5 | 14.6
| S/N | 13.5 | 22.5 | 24.7
| S/N(c) | 31.7 | 10.3 | 29.1
| SN(E/C) | 0.96
|
|
|
|
|
|
|
14310052
| 47
| | Red | Green | Blue
| z | | 18.94
| znorm | | 14.76
| sky | 14.7 | 14.5 | 14.8
| S/N | 14.1 | 23.5 | 25.8
| S/N(c) | 32.9 | 10.5 | 30.2
| SN(E/C) | 0.94
|
|
|
|
|
|
|
14310053
| 47
| | Red | Green | Blue
| z | | 18.90
| znorm | | 14.72
| sky | 14.6 | 14.6 | 14.9
| S/N | 13.8 | 23.0 | 25.5
| S/N(c) | 32.2 | 10.4 | 29.7
| SN(E/C) | 0.93
|
|
|
|
|
|
|
14310054
| 47
| | Red | Green | Blue
| z | | 18.92
| znorm | | 14.74
| sky | 14.8 | 14.7 | 14.9
| S/N | 14.2 | 23.2 | 25.7
| S/N(c) | 32.6 | 10.5 | 29.8
| SN(E/C) | 0.95
|
|
|
|
|
|
|
14310055
| 47
| | Red | Green | Blue
| z | | 18.94
| znorm | | 14.76
| sky | 14.6 | 14.7 | 14.9
| S/N | 14.3 | 23.8 | 25.7
| S/N(c) | 33.1 | 10.7 | 30.1
| SN(E/C) | 0.92
|
|
|
|
|
|
|