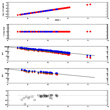
Left plots: red are targets, blue are telluric. Observed mags are calculated from median value of green chip. Zeropoint gives overall throughput: bigger number is more throughput.
First spatial plots: circles are objects, squares are tellurics, crosses are sky fibers. Colors give deviation of observed mag from expected 2MASS mag using the median zeropoint; red is brighter
Second spatial plots: circles are sky fibers. Colors give sky line brightness relative to plate median sky line brightness
FrameNreadsZeropointsMag plots Spatial mag deviation Spatial sky 16325A emission deviations (filled: sky, open: star) Spatial sky continuum emission Spatial sky telluric CO2 absorption deviations (filled: H < 10)
0 0
RedGreenBlue
z17.64
znorm Inf
sky -Inf -Inf -Inf
S/N 24.8 43.1 47.3
S/N(c) 0.0 0.0 0.0
SN(E/C) 0.91

IPAIRNAMESHIFTNEWSHIFTS/N NAMESHIFTNEWSHIFTS/N
0 14310050 0.500230 0.00000 18.9340 14310048 0.00000 0.500230 18.9721
1 14310054 0.498296 0.00193402 18.9015 14310052 6.44206e-05 0.500166 18.9309
2 14310053 0.498359 0.00187102 18.9010 14310055 0.00158388 0.498646 18.9308
3 14310049 0.499001 0.00122902 18.8637 14310051 0.000216889 0.500013 18.8620