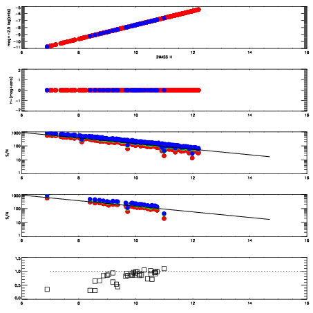
Left plots: red are targets, blue are telluric. Observed mags are calculated from median value of green chip. Zeropoint gives overall throughput: bigger number is more throughput.
First spatial plots: circles are objects, squares are tellurics, crosses are sky fibers. Colors give deviation of observed mag from expected 2MASS mag using the median zeropoint; red is brighter
Second spatial plots: circles are sky fibers. Colors give sky line brightness relative to plate median sky line brightness
FrameNreadsZeropointsMag plots Spatial mag deviation Spatial sky 16325A emission deviations (filled: sky, open: star) Spatial sky continuum emission Spatial sky telluric CO2 absorption deviations (filled: H < 10)
0 0
RedGreenBlue
z17.64
znorm Inf
sky -Inf -Inf -Inf
S/N 40.2 65.3 74.4
S/N(c) 0.0 0.0 0.0
SN(E/C) 0.87

IPAIRNAMESHIFTNEWSHIFTS/N NAMESHIFTNEWSHIFTS/N
0 14100074 0.498535 0.00000 19.2363 14100072 0.00000 0.498535 19.2446
1 14100081 0.496862 0.00167301 19.2526 14100079 -0.000159656 0.498695 19.2719
2 14100073 0.497457 0.00107801 19.2384 14100076 -9.10349e-05 0.498626 19.2482
3 14100077 0.497461 0.00107402 19.2339 14100080 -0.000384810 0.498920 19.2354
4 14100082 0.497719 0.000816017 19.2314 14100075 4.14032e-05 0.498494 19.2333
5 14100078 0.498262 0.000273019 19.1923 14100083 0.000652512 0.497882 19.2269