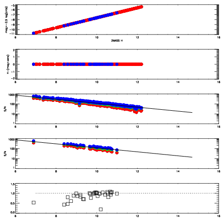
Left plots: red are targets, blue are telluric. Observed mags are calculated from median value of green chip. Zeropoint gives overall throughput: bigger number is more throughput.
First spatial plots: circles are objects, squares are tellurics, crosses are sky fibers. Colors give deviation of observed mag from expected 2MASS mag using the median zeropoint; red is brighter
Second spatial plots: circles are sky fibers. Colors give sky line brightness relative to plate median sky line brightness
FrameNreadsZeropointsMag plots Spatial mag deviation Spatial sky 16325A emission deviations (filled: sky, open: star) Spatial sky continuum emission Spatial sky telluric CO2 absorption deviations (filled: H < 10)
0 0
RedGreenBlue
z17.64
znorm Inf
sky -NaN -Inf -Inf
S/N 24.5 41.3 46.1
S/N(c) 0.0 0.0 0.0
SN(E/C) 0.96

IPAIRNAMESHIFTNEWSHIFTS/N NAMESHIFTNEWSHIFTS/N
0 14370045 0.496245 0.00000 18.8420 14370042 0.000294227 0.495951 18.8529
1 14370040 0.493664 0.00258100 18.9481 14370046 0.00119658 0.495048 18.8994
2 14370041 0.495126 0.00111899 18.9238 14370039 0.00000 0.496245 18.8550
3 14370044 0.495840 0.000404984 18.7336 14370043 0.000200296 0.496045 18.6745