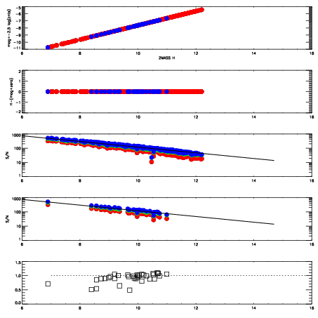
Left plots: red are targets, blue are telluric. Observed mags are calculated from median value of green chip. Zeropoint gives overall throughput: bigger number is more throughput.
First spatial plots: circles are objects, squares are tellurics, crosses are sky fibers. Colors give deviation of observed mag from expected 2MASS mag using the median zeropoint; red is brighter
Second spatial plots: circles are sky fibers. Colors give sky line brightness relative to plate median sky line brightness
FrameNreadsZeropointsMag plots Spatial mag deviation Spatial sky 16325A emission deviations (filled: sky, open: star) Spatial sky continuum emission Spatial sky telluric CO2 absorption deviations (filled: H < 10)
0 0
RedGreenBlue
z17.64
znorm Inf
sky -Inf -Inf -Inf
S/N 19.5 35.3 39.8
S/N(c) 0.0 0.0 0.0
SN(E/C) 0.97

IPAIRNAMESHIFTNEWSHIFTS/N NAMESHIFTNEWSHIFTS/N
0 14440055 0.499080 0.00000 18.4780 14440052 0.000379752 0.498700 18.6379
1 14440050 0.497046 0.00203401 18.6570 14440053 0.000104371 0.498976 18.6550
2 14440054 0.497458 0.00162199 18.6298 14440049 0.00000 0.499080 18.6465
3 14440051 0.497273 0.00180700 18.4754 14440056 0.000400247 0.498680 18.5424