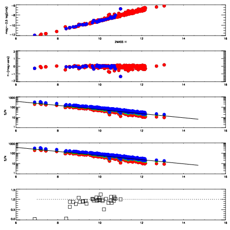
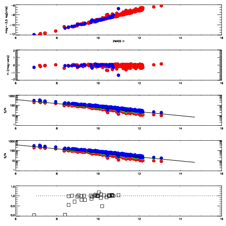
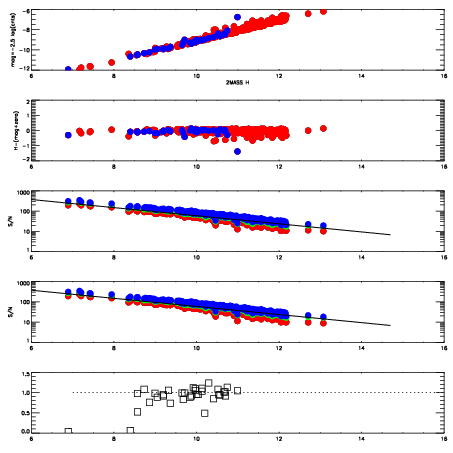
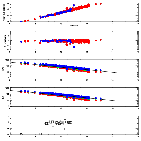
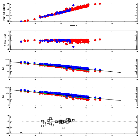
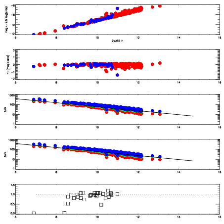
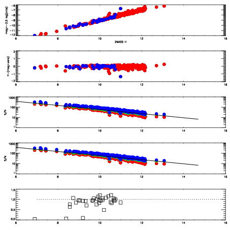
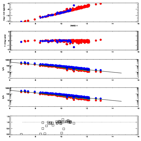
Frame | Nreads | Zeropoints | Mag plots
| Spatial mag deviation
| Spatial sky 16325A emission deviations (filled: sky, open: star)
| Spatial sky continuum emission
| Spatial sky telluric CO2 absorption deviations (filled: H < 10)
|
14950013
| 47
| | Red | Green | Blue
| z | | 19.07
| znorm | | 14.89
| sky | 14.4 | 14.3 | 14.4
| S/N | 16.2 | 24.7 | 28.8
| S/N(c) | 23.5 | 24.9 | 12.2
| SN(E/C) | 0.93
|
|
|
|
|
|
|
14950014
| 47
| | Red | Green | Blue
| z | | 19.14
| znorm | | 14.96
| sky | 14.7 | 14.6 | 14.5
| S/N | 16.3 | 25.2 | 29.3
| S/N(c) | 24.4 | 25.4 | 12.7
| SN(E/C) | 0.97
|
|
|
|
|
|
|
14950015
| 47
| | Red | Green | Blue
| z | | 19.11
| znorm | | 14.93
| sky | 14.9 | 14.6 | 14.6
| S/N | 16.0 | 25.0 | 28.8
| S/N(c) | 23.6 | 25.2 | 12.4
| SN(E/C) | 0.97
|
|
|
|
|
|
|
14950016
| 47
| | Red | Green | Blue
| z | | 19.09
| znorm | | 14.91
| sky | 14.6 | 14.7 | 14.5
| S/N | 15.7 | 24.8 | 28.4
| S/N(c) | 23.8 | 25.0 | 12.4
| SN(E/C) | 0.96
|
|
|
|
|
|
|
14950017
| 47
| | Red | Green | Blue
| z | | 19.10
| znorm | | 14.92
| sky | 14.7 | 14.7 | 14.7
| S/N | 15.6 | 24.9 | 28.4
| S/N(c) | 23.5 | 25.0 | 12.4
| SN(E/C) | 0.94
|
|
|
|
|
|
|
14950018
| 47
| | Red | Green | Blue
| z | | 19.14
| znorm | | 14.96
| sky | 15.0 | 14.6 | 14.6
| S/N | 16.0 | 25.2 | 28.9
| S/N(c) | 24.0 | 25.6 | 12.6
| SN(E/C) | 0.97
|
|
|
|
|
|
|
14950019
| 47
| | Red | Green | Blue
| z | | 19.11
| znorm | | 14.93
| sky | 14.8 | 14.7 | 14.7
| S/N | 15.8 | 24.7 | 28.4
| S/N(c) | 23.5 | 25.0 | 12.4
| SN(E/C) | 1.00
|
|
|
|
|
|
|
14950020
| 47
| | Red | Green | Blue
| z | | 19.13
| znorm | | 14.95
| sky | 15.1 | 14.7 | 14.6
| S/N | 15.9 | 24.8 | 28.5
| S/N(c) | 23.7 | 25.2 | 12.4
| SN(E/C) | 0.95
|
|
|
|
|
|
|