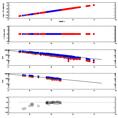
Left plots: red are targets, blue are telluric. Observed mags are calculated from median value of green chip. Zeropoint gives overall throughput: bigger number is more throughput.
First spatial plots: circles are objects, squares are tellurics, crosses are sky fibers. Colors give deviation of observed mag from expected 2MASS mag using the median zeropoint; red is brighter
Second spatial plots: circles are sky fibers. Colors give sky line brightness relative to plate median sky line brightness
FrameNreadsZeropointsMag plots Spatial mag deviation Spatial sky 16325A emission deviations (filled: sky, open: star) Spatial sky continuum emission Spatial sky telluric CO2 absorption deviations (filled: H < 10)
0 0
RedGreenBlue
z17.64
znorm Inf
sky -Inf -NaN -NaN
S/N 22.8 38.1 43.2
S/N(c) 0.0 0.0 0.0
SN(E/C) 0.96

IPAIRNAMESHIFTNEWSHIFTS/N NAMESHIFTNEWSHIFTS/N
0 14890028 0.500136 0.00000 18.8864 14890029 2.68259e-05 0.500109 18.9384
1 14890024 0.499392 0.000744015 18.8558 14890025 -0.00101817 0.501154 18.8620
2 14890027 0.498990 0.00114602 18.8281 14890026 -0.00154331 0.501679 18.8317
3 14890023 0.499154 0.000982016 18.7558 14890022 0.00000 0.500136 18.8211