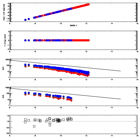
Left plots: red are targets, blue are telluric. Observed mags are calculated from median value of green chip. Zeropoint gives overall throughput: bigger number is more throughput.
First spatial plots: circles are objects, squares are tellurics, crosses are sky fibers. Colors give deviation of observed mag from expected 2MASS mag using the median zeropoint; red is brighter
Second spatial plots: circles are sky fibers. Colors give sky line brightness relative to plate median sky line brightness
FrameNreadsZeropointsMag plots Spatial mag deviation Spatial sky 16325A emission deviations (filled: sky, open: star) Spatial sky continuum emission Spatial sky telluric CO2 absorption deviations (filled: H < 10)
0 0
RedGreenBlue
z17.64
znorm Inf
sky -Inf -Inf -Inf
S/N 3.4 6.9 7.7
S/N(c) 0.0 0.0 0.0
SN(E/C) 1.10

IPAIRNAMESHIFTNEWSHIFTS/N NAMESHIFTNEWSHIFTS/N
0 13760094 0.506552 0.00000 16.8683 13760095 -0.000935326 0.507487 17.4221
1 13760093 0.506067 0.000485003 15.6180 13760096 -0.000551205 0.507103 16.1880
2 13760097 0.504978 0.00157398 13.8095 13760092 0.00000 0.506552 15.8192