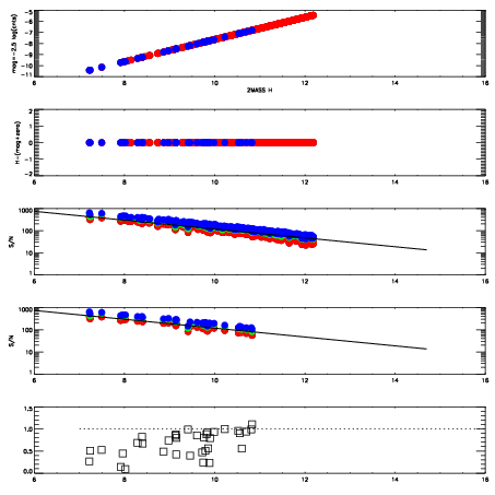
Left plots: red are targets, blue are telluric. Observed mags are calculated from median value of green chip. Zeropoint gives overall throughput: bigger number is more throughput.
First spatial plots: circles are objects, squares are tellurics, crosses are sky fibers. Colors give deviation of observed mag from expected 2MASS mag using the median zeropoint; red is brighter
Second spatial plots: circles are sky fibers. Colors give sky line brightness relative to plate median sky line brightness
FrameNreadsZeropointsMag plots Spatial mag deviation Spatial sky 16325A emission deviations (filled: sky, open: star) Spatial sky continuum emission Spatial sky telluric CO2 absorption deviations (filled: H < 10)
0 0
RedGreenBlue
z17.64
znorm Inf
sky -Inf -Inf -NaN
S/N 31.1 52.9 58.0
S/N(c) 0.0 0.0 0.0
SN(E/C) 0.74

IPAIRNAMESHIFTNEWSHIFTS/N NAMESHIFTNEWSHIFTS/N
0 13840054 0.502340 0.00000 19.2189 13840048 0.00000 0.502340 19.2140
1 13840050 0.502148 0.000192046 19.2607 13840052 0.000563687 0.501776 19.2670
2 13840053 0.501900 0.000440001 19.2598 13840051 0.000966687 0.501373 19.2371
3 13840049 0.502217 0.000123024 19.2341 13840055 -0.000179251 0.502519 19.2145