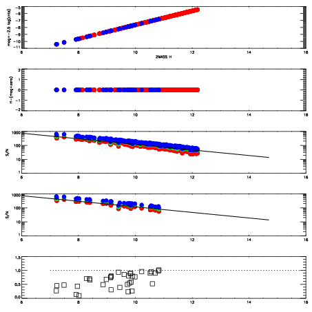
Left plots: red are targets, blue are telluric. Observed mags are calculated from median value of green chip. Zeropoint gives overall throughput: bigger number is more throughput.
First spatial plots: circles are objects, squares are tellurics, crosses are sky fibers. Colors give deviation of observed mag from expected 2MASS mag using the median zeropoint; red is brighter
Second spatial plots: circles are sky fibers. Colors give sky line brightness relative to plate median sky line brightness
FrameNreadsZeropointsMag plots Spatial mag deviation Spatial sky 16325A emission deviations (filled: sky, open: star) Spatial sky continuum emission Spatial sky telluric CO2 absorption deviations (filled: H < 10)
0 0
RedGreenBlue
z17.64
znorm Inf
sky -Inf -NaN -NaN
S/N 31.9 54.1 58.9
S/N(c) 0.0 0.0 0.0
SN(E/C) 0.70

IPAIRNAMESHIFTNEWSHIFTS/N NAMESHIFTNEWSHIFTS/N
0 13850039 0.503318 0.00000 19.2998 13850044 -0.000172624 0.503491 19.2953
1 13850043 0.502497 0.000820994 19.2911 13850041 -0.000273663 0.503592 19.2803
2 13850042 0.502525 0.000793040 19.2855 13850040 -0.000192647 0.503511 19.2667
3 13850038 0.502540 0.000778019 19.2833 13850037 0.00000 0.503318 19.2608