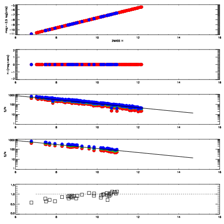
Left plots: red are targets, blue are telluric. Observed mags are calculated from median value of green chip. Zeropoint gives overall throughput: bigger number is more throughput.
First spatial plots: circles are objects, squares are tellurics, crosses are sky fibers. Colors give deviation of observed mag from expected 2MASS mag using the median zeropoint; red is brighter
Second spatial plots: circles are sky fibers. Colors give sky line brightness relative to plate median sky line brightness
FrameNreadsZeropointsMag plots Spatial mag deviation Spatial sky 16325A emission deviations (filled: sky, open: star) Spatial sky continuum emission Spatial sky telluric CO2 absorption deviations (filled: H < 10)
0 0
RedGreenBlue
z17.64
znorm Inf
sky -Inf -Inf -Inf
S/N 22.2 37.0 43.5
S/N(c) 0.0 0.0 0.0
SN(E/C) 0.92

IPAIRNAMESHIFTNEWSHIFTS/N NAMESHIFTNEWSHIFTS/N
0 14680028 0.497006 0.00000 18.6411 14680024 0.000533445 0.496473 18.6762
1 14680023 0.496596 0.000409991 19.0882 14680022 0.00000 0.497006 19.0463
2 14680027 0.494257 0.00274900 19.0839 14680026 -0.00107023 0.498076 19.0181
3 14680025 0.495349 0.00165701 18.7477 14680029 0.000854566 0.496151 18.7919