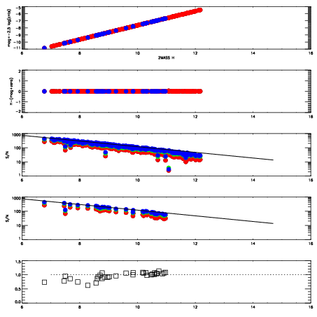
Left plots: red are targets, blue are telluric. Observed mags are calculated from median value of green chip. Zeropoint gives overall throughput: bigger number is more throughput.
First spatial plots: circles are objects, squares are tellurics, crosses are sky fibers. Colors give deviation of observed mag from expected 2MASS mag using the median zeropoint; red is brighter
Second spatial plots: circles are sky fibers. Colors give sky line brightness relative to plate median sky line brightness
FrameNreadsZeropointsMag plots Spatial mag deviation Spatial sky 16325A emission deviations (filled: sky, open: star) Spatial sky continuum emission Spatial sky telluric CO2 absorption deviations (filled: H < 10)
0 0
RedGreenBlue
z17.64
znorm Inf
sky -Inf -Inf -NaN
S/N 14.7 24.2 28.4
S/N(c) 0.0 0.0 0.0
SN(E/C) 0.99

IPAIRNAMESHIFTNEWSHIFTS/N NAMESHIFTNEWSHIFTS/N
0 14960042 0.498781 0.00000 16.8117 14960041 -0.000774765 0.499556 17.4790
1 14960039 0.493706 0.00507501 18.7811 14960040 -0.00215736 0.500938 18.5595
2 14960043 0.494923 0.00385800 18.5412 14960037 0.00000 0.498781 18.3520
3 14960038 0.495256 0.00352499 18.4760 14960044 -3.08228e-05 0.498812 17.7287