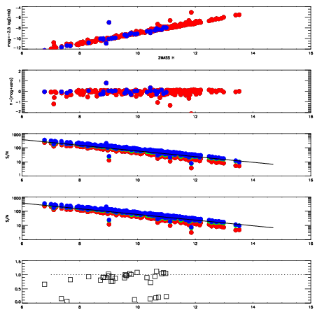
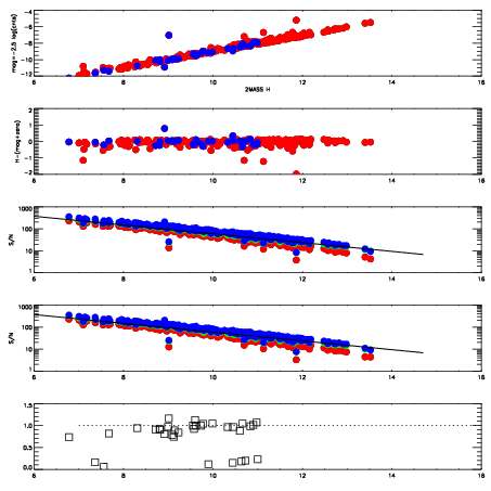
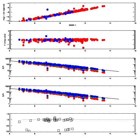
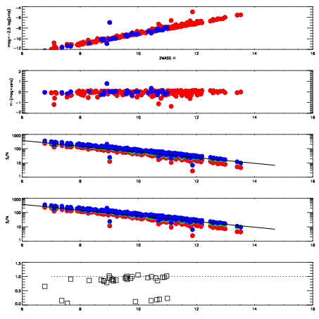
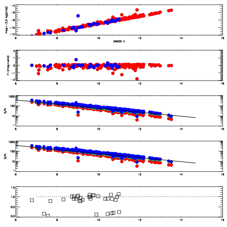
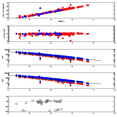
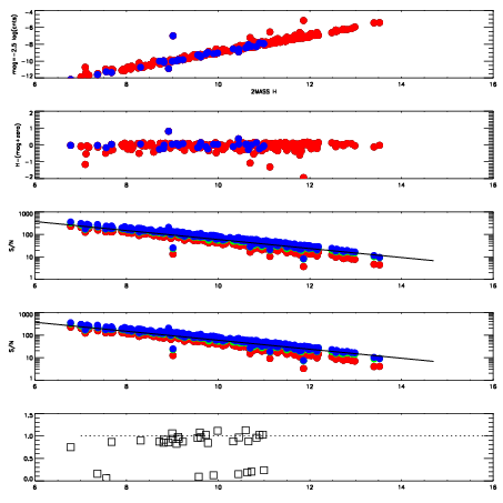
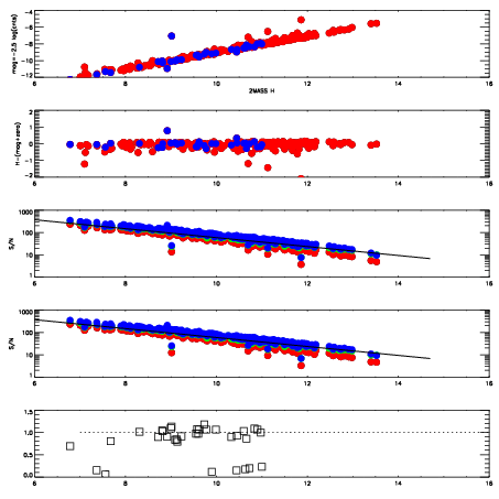
Frame | Nreads | Zeropoints | Mag plots
| Spatial mag deviation
| Spatial sky 16325A emission deviations (filled: sky, open: star)
| Spatial sky continuum emission
| Spatial sky telluric CO2 absorption deviations (filled: H < 10)
|
14970036
| 47
| | Red | Green | Blue
| z | | 18.95
| znorm | | 14.77
| sky | 14.6 | 14.3 | 14.5
| S/N | 14.7 | 24.6 | 26.3
| S/N(c) | 19.7 | 28.3 | 25.5
| SN(E/C) | 0.97
|
|
|
|
|
|
|
14970037
| 47
| | Red | Green | Blue
| z | | 18.99
| znorm | | 14.81
| sky | 14.6 | 14.4 | 14.6
| S/N | 15.5 | 25.4 | 27.2
| S/N(c) | 20.3 | 28.9 | 26.1
| SN(E/C) | 0.90
|
|
|
|
|
|
|
14970038
| 47
| | Red | Green | Blue
| z | | 18.95
| znorm | | 14.77
| sky | 14.8 | 14.5 | 14.6
| S/N | 14.9 | 25.1 | 26.5
| S/N(c) | 19.5 | 28.4 | 25.4
| SN(E/C) | 0.96
|
|
|
|
|
|
|
14970039
| 47
| | Red | Green | Blue
| z | | 18.99
| znorm | | 14.81
| sky | 14.6 | 14.5 | 14.7
| S/N | 15.0 | 25.4 | 27.2
| S/N(c) | 20.0 | 28.7 | 26.2
| SN(E/C) | 0.88
|
|
|
|
|
|
|
14970040
| 47
| | Red | Green | Blue
| z | | 19.05
| znorm | | 14.87
| sky | 14.8 | 14.6 | 14.6
| S/N | 15.6 | 26.2 | 27.9
| S/N(c) | 20.7 | 29.6 | 26.9
| SN(E/C) | 0.90
|
|
|
|
|
|
|
14970041
| 47
| | Red | Green | Blue
| z | | 19.06
| znorm | | 14.88
| sky | 14.4 | 14.6 | 14.7
| S/N | 15.5 | 26.3 | 28.1
| S/N(c) | 20.7 | 29.6 | 27.0
| SN(E/C) | 0.89
|
|
|
|
|
|
|
14970042
| 47
| | Red | Green | Blue
| z | | 19.04
| znorm | | 14.86
| sky | 14.5 | 14.6 | 14.6
| S/N | 15.6 | 26.3 | 27.8
| S/N(c) | 20.6 | 29.4 | 26.7
| SN(E/C) | 0.92
|
|
|
|
|
|
|
14970043
| 47
| | Red | Green | Blue
| z | | 19.07
| znorm | | 14.89
| sky | 14.6 | 14.6 | 14.6
| S/N | 15.7 | 26.6 | 28.2
| S/N(c) | 20.9 | 29.9 | 27.1
| SN(E/C) | 0.92
|
|
|
|
|
|
|