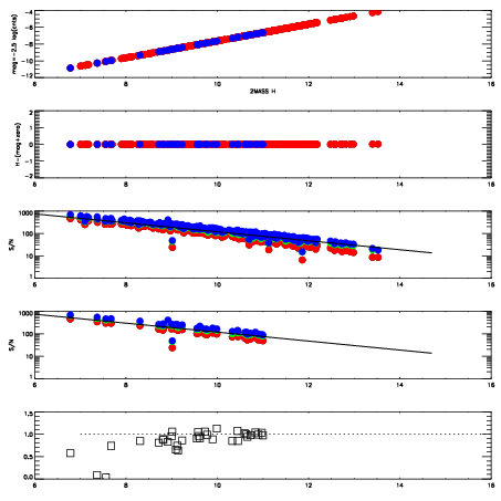
Left plots: red are targets, blue are telluric. Observed mags are calculated from median value of green chip. Zeropoint gives overall throughput: bigger number is more throughput.
First spatial plots: circles are objects, squares are tellurics, crosses are sky fibers. Colors give deviation of observed mag from expected 2MASS mag using the median zeropoint; red is brighter
Second spatial plots: circles are sky fibers. Colors give sky line brightness relative to plate median sky line brightness
FrameNreadsZeropointsMag plots Spatial mag deviation Spatial sky 16325A emission deviations (filled: sky, open: star) Spatial sky continuum emission Spatial sky telluric CO2 absorption deviations (filled: H < 10)
0 0
RedGreenBlue
z17.64
znorm Inf
sky -Inf -Inf -Inf
S/N 27.6 48.7 52.1
S/N(c) 0.0 0.0 0.0
SN(E/C) 0.91

IPAIRNAMESHIFTNEWSHIFTS/N NAMESHIFTNEWSHIFTS/N
0 14970037 0.492676 0.00000 18.9878 14970039 -0.000391650 0.493068 18.9844
1 14970041 0.491466 0.00121000 19.0573 14970043 -0.00154322 0.494219 19.0729
2 14970042 0.492510 0.000165999 19.0435 14970040 -0.00125405 0.493930 19.0399
3 14970038 0.492301 0.000375003 18.9500 14970036 0.00000 0.492676 18.9422