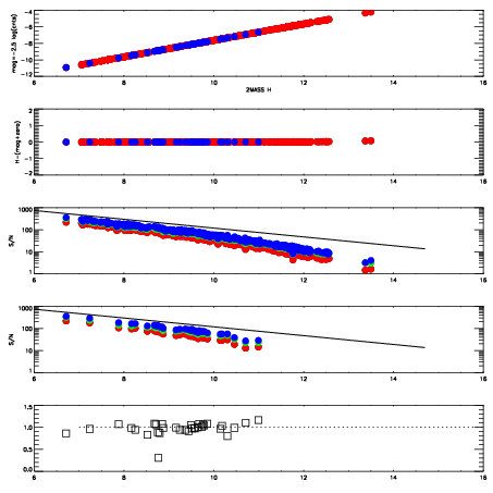
Left plots: red are targets, blue are telluric. Observed mags are calculated from median value of green chip. Zeropoint gives overall throughput: bigger number is more throughput.
First spatial plots: circles are objects, squares are tellurics, crosses are sky fibers. Colors give deviation of observed mag from expected 2MASS mag using the median zeropoint; red is brighter
Second spatial plots: circles are sky fibers. Colors give sky line brightness relative to plate median sky line brightness
FrameNreadsZeropointsMag plots Spatial mag deviation Spatial sky 16325A emission deviations (filled: sky, open: star) Spatial sky continuum emission Spatial sky telluric CO2 absorption deviations (filled: H < 10)
0 0
RedGreenBlue
z17.64
znorm Inf
sky -Inf -Inf -NaN
S/N 6.9 11.0 11.5
S/N(c) 0.0 0.0 0.0
SN(E/C) 0.98

IPAIRNAMESHIFTNEWSHIFTS/N NAMESHIFTNEWSHIFTS/N
0 14350064 0.501065 0.00000 17.7077 14350065 0.000457986 0.500607 17.6350
1 14350067 0.498542 0.00252301 17.7778 14350066 0.000776971 0.500288 17.9514
2 14350068 0.499925 0.00114003 17.0984 14350062 0.00000 0.501065 16.6491
3 14350063 0.500196 0.000869036 17.0377 14350069 0.000908081 0.500157 16.5811