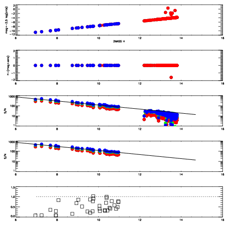
Left plots: red are targets, blue are telluric. Observed mags are calculated from median value of green chip. Zeropoint gives overall throughput: bigger number is more throughput.
First spatial plots: circles are objects, squares are tellurics, crosses are sky fibers. Colors give deviation of observed mag from expected 2MASS mag using the median zeropoint; red is brighter
Second spatial plots: circles are sky fibers. Colors give sky line brightness relative to plate median sky line brightness
FrameNreadsZeropointsMag plots Spatial mag deviation Spatial sky 16325A emission deviations (filled: sky, open: star) Spatial sky continuum emission Spatial sky telluric CO2 absorption deviations (filled: H < 10)
0 0
RedGreenBlue
z17.64
znorm Inf
sky -Inf -Inf -NaN
S/N 25.6 42.8 46.2
S/N(c) 28.2 15.2 13.0
SN(E/C) 0.46

IPAIRNAMESHIFTNEWSHIFTS/N NAMESHIFTNEWSHIFTS/N
0 14440066 0.500714 0.00000 18.5844 14440064 -0.000206400 0.500920 18.7069
1 14440065 0.500014 0.000699997 18.5695 14440063 -0.000750508 0.501464 18.7022
2 14440061 0.498258 0.00245601 18.4884 14440067 0.000606120 0.500108 18.5748
3 14440062 0.499137 0.00157699 18.3751 14440060 0.00000 0.500714 18.3427