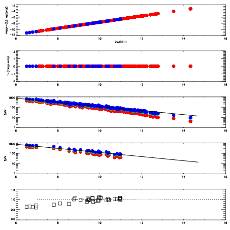
Left plots: red are targets, blue are telluric. Observed mags are calculated from median value of green chip. Zeropoint gives overall throughput: bigger number is more throughput.
First spatial plots: circles are objects, squares are tellurics, crosses are sky fibers. Colors give deviation of observed mag from expected 2MASS mag using the median zeropoint; red is brighter
Second spatial plots: circles are sky fibers. Colors give sky line brightness relative to plate median sky line brightness
FrameNreadsZeropointsMag plots Spatial mag deviation Spatial sky 16325A emission deviations (filled: sky, open: star) Spatial sky continuum emission Spatial sky telluric CO2 absorption deviations (filled: H < 10)
0 0
RedGreenBlue
z17.64
znorm Inf
sky -Inf -Inf -Inf
S/N 19.6 33.9 38.6
S/N(c) 0.0 0.0 0.0
SN(E/C) 0.99

IPAIRNAMESHIFTNEWSHIFTS/N NAMESHIFTNEWSHIFTS/N
0 13810074 0.501037 0.00000 18.4657 13810076 -0.00127098 0.502308 18.4626
1 13810079 0.498774 0.00226301 18.7480 13810080 -0.00239842 0.503435 18.8572
2 13810078 0.498344 0.00269300 18.6809 13810077 -0.00166610 0.502703 18.5911
3 13810075 0.500461 0.000576019 18.4913 13810073 0.00000 0.501037 18.4766