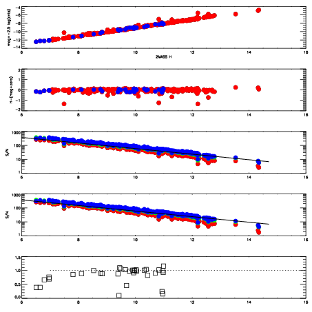
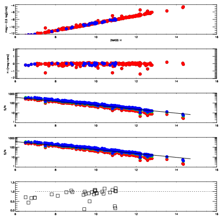
Left plots: red are targets, blue are telluric. Observed mags are calculated from median value of green chip. Zeropoint gives overall throughput: bigger number is more throughput.
First spatial plots: circles are objects, squares are tellurics, crosses are sky fibers. Colors give deviation of observed mag from expected 2MASS mag using the median zeropoint; red is brighter
Second spatial plots: circles are sky fibers. Colors give sky line brightness relative to plate median sky line brightness
FrameNreadsZeropointsMag plots Spatial mag deviation Spatial sky 16325A emission deviations (filled: sky, open: star) Spatial sky continuum emission Spatial sky telluric CO2 absorption deviations (filled: H < 10)
14310081 47
RedGreenBlue
z19.04
znorm14.86
sky 14.3 14.0 14.1
S/N 14.8 21.8 25.8
S/N(c) 10.5 11.6 8.1
SN(E/C) 0.91
14310082 47
RedGreenBlue
z19.05
znorm14.87
sky 14.2 14.0 14.1
S/N 14.4 22.0 25.6
S/N(c) 10.5 11.7 8.1
SN(E/C) 0.94
14310083 47
RedGreenBlue
z19.09
znorm14.91
sky 14.2 14.0 14.1
S/N 14.7 22.6 26.4
S/N(c) 10.8 12.0 8.4
SN(E/C) 0.92
14310084 47
RedGreenBlue
z19.05
znorm14.87
sky 14.2 14.0 14.0
S/N 14.3 22.1 25.3
S/N(c) 10.6 11.9 8.1
SN(E/C) 0.98