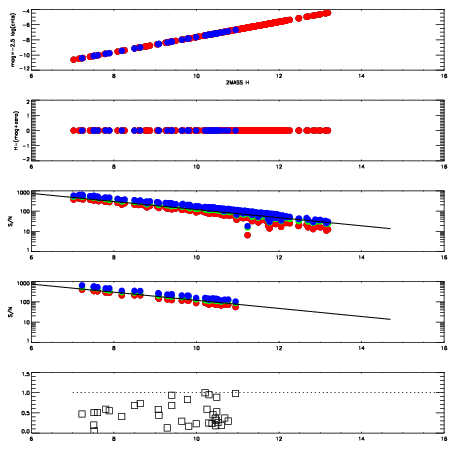
Left plots: red are targets, blue are telluric. Observed mags are calculated from median value of green chip. Zeropoint gives overall throughput: bigger number is more throughput.
First spatial plots: circles are objects, squares are tellurics, crosses are sky fibers. Colors give deviation of observed mag from expected 2MASS mag using the median zeropoint; red is brighter
Second spatial plots: circles are sky fibers. Colors give sky line brightness relative to plate median sky line brightness
FrameNreadsZeropointsMag plots Spatial mag deviation Spatial sky 16325A emission deviations (filled: sky, open: star) Spatial sky continuum emission Spatial sky telluric CO2 absorption deviations (filled: H < 10)
0 0
RedGreenBlue
z17.64
znorm Inf
sky -NaN -Inf -NaN
S/N 28.9 51.0 56.0
S/N(c) 0.0 0.0 0.0
SN(E/C) 0.45

IPAIRNAMESHIFTNEWSHIFTS/N NAMESHIFTNEWSHIFTS/N
0 17330057 0.503995 0.00000 19.0535 17330055 0.00000 0.503995 19.0807
1 17330061 0.503775 0.000220001 19.2012 17330059 0.00135486 0.502640 19.1506
2 17330060 0.503397 0.000598013 19.1654 17330062 0.00314846 0.500847 19.1426
3 17330056 0.503467 0.000527978 19.1089 17330058 0.00169468 0.502300 19.1316